Darbības ar dokumentu

Tiesību akts: spēkā esošs

Siguldas novada pašvaldības domes lēmums

Siguldā 2026. gada 26. februārī (prot. Nr. 3, 28. §)

Par Latvāņu izplatības ierobežošanas pasākumu organizatoriskā plāna Siguldas novadā 2025.-2029. gadam precizēšanu

Ziņo: Siguldas novada pašvaldības domes Attīstības un uzņēmējdarbības komitejas priekšsēdētājs J. Zilvers (vecākais)

Saskaņā ar Eiropas Parlamenta un Padomes regulu (ES) 2016/1141 (2016. gada 13. jūlijs), ar ko atbilstīgi Eiropas Parlamenta un Padomes Regulai (ES) Nr. 1143/2014 pieņem sarakstu ar invazīvajām svešzemju sugām, kas rada bažas Savienībai, sarakstā ar invazīvajām svešzemju sugām, kas rada bažas Savienībai (sinonīms - Eiropas Savienības invazīvo sugu saraksts), ir iekļauta invazīvā svešzemju suga (sinonīms - invazīvā suga) Heracleum sosnowskyi Mandenova (sinonīms - Heracleum sosnowskyi Manden), turpmāk - latvānis vai latvāņi.

Saskaņā ar Sugu un biotopu aizsardzības likuma 23.2 panta piekto daļu invazīvo sugu sarakstā iekļauto sugu izplatības ierobežošanas pasākumu īstenošanā atbilstoši Ministru kabineta noteiktajai kārtībai iesaistās attiecīgā valstspilsētas vai novada pašvaldība. Pašvaldība:

1) pieņem lēmumu par invazīvo sugu izplatības ierobežošanas pasākumiem attiecīgās pašvaldības teritorijā un publicē to saskaņā ar Oficiālo publikāciju un tiesiskās informācijas likumu, kā arī vietējās pašvaldības laikrakstā un tīmekļvietnē;

2) ievērojot normatīvos aktus par attiecīgās invazīvās sugas ierobežošanas pasākumiem un metodēm, var koordinēt un sadarbībā ar attiecīgo kompetento institūciju organizēt invazīvo sugu ierobežošanas pasākumus, ja zemes īpašnieks, lietotājs vai valdītājs neveic invazīvo sugu izplatības ierobežošanas pasākumus.

Ar Siguldas novada pašvaldības, turpmāk - Pašvaldība, domes 2025. gada 27. februāra sēdes lēmumu "Par Latvāņu izplatības ierobežošanas pasākumu organizatorisko plānu Siguldas novadā 2025.-2029. gadam" (prot. Nr. 3, 57. §) apstiprināts Latvāņu izplatības ierobežošanas pasākumu organizatoriskais plāns Siguldas novadā 2025.-2029. gadam, turpmāk - Organizatoriskais plāns.

Saskaņā ar Ministru kabineta 2008. gada 14. jūlija noteikumu Nr. 559 "Invazīvo augu sugas - Sosnovska latvāņa - izplatības ierobežošanas noteikumi", turpmāk - MK noteikumi Nr. 559, 13. punktu latvāņa izplatības ierobežošanas pasākumu organizatoriskais plāns, turpmāk - plāns, ietver attiecīgajam gadam sastādītu darbības plānu latvāņa izplatības ierobežošanas pasākumu organizēšanai un koordinēšanai, latvāņa izplatības ierobežošanas pasākumu veikšanas kalendāra grafiku, informāciju par personu (juridiskās personas nosaukumu (firmu), reģistrācijas numuru Uzņēmumu reģistrā un juridisko adresi vai fiziskās personas vārdu un uzvārdu, personas kodu un dzīvesvietu), informāciju par latvāņa izplatības ierobežošanas pasākumu veicēju (juridiskās personas nosaukumu (firmu), reģistrācijas numuru Uzņēmumu reģistrā un juridisko adresi vai fiziskās personas vārdu un uzvārdu, personas kodu un dzīvesvietu), ar latvāni invadētās zemes vienības kadastra apzīmējumu.

Saskaņā ar MK noteikumu Nr. 559 15. punktu pašvaldība reizi gadā pārskata plānu un, ja nepieciešams, precizē to, kā arī oficiālajā izdevumā "Latvijas Vēstnesis" publicē paziņojumu par izmaiņām plānā.

Pašvaldības centrālās pārvaldes Attīstības un investīciju pārvaldes Nekustamo īpašumu pārvaldības nodaļas speciālisti, ņemot vērā Pašvaldības darba grupas invazīvo augu sugu ierobežošanas pasākumu organizēšanai, ja zemes īpašnieks, lietotājs vai valdītājs neveic invazīvo sugu izplatības ierobežošanas pasākumus, priekšlikumus, ir sagatavojuši precizējumus Organizatoriskajā plānā, pamatojoties uz Valsts augu aizsardzības dienesta Kultūraugu uzraudzības valsts informācijas sistēmas invazīvo augu sugu izplatības datubāzes, turpmāk - VAAD datubāze, datiem, ņemot vērā MK noteikumu Nr. 559 10. punktā noteikto, valstspilsētas pašvaldība vai novada pašvaldība izvērtē saņemto informāciju un, ņemot vērā ar latvāni invadēto platību, organizē un koordinē latvāņa izplatības ierobežošanas pasākumus, un MK noteikumu Nr. 559 17. punktu, ja persona nav iesniegusi šo noteikumu 3. vai 7. punktā minēto informāciju vai neveic latvāņa izplatības ierobežošanas pasākumus, tos organizē un koordinē attiecīgā vietējā pašvaldība. Persona sedz izdevumus, kas saistīti ar latvāņa izplatības ierobežošanas pasākumiem.

Ievērojot iepriekš minēto un pamatojoties uz Pašvaldību likuma 10. panta pirmās daļas 21. punktu, Sugu un biotopu aizsardzības likuma 23.2 panta piekto daļu, Ministru kabineta 2008. gada 14. jūlija noteikumu Nr. 559 "Invazīvo augu sugas - Sosnovska latvāņa - izplatības ierobežošanas noteikumi" 15. punktu, kā arī Attīstības un uzņēmējdarbības komitejas un Finanšu komitejas apvienotās 2026. gada 19. februāra sēdes atzinumu (prot. Nr. 2, 23. §), atklāti balsojot, ar 19 balsīm par (I. Alksnis, Z. Berdinska, I. Bernats, E. Eisaks, J. Eisaks, A. Kaimiņa, L. Kumskis, M. Pūce, M. Rupmejs, L. Sausiņa, S. Strausa, J. Strautmanis, I. Stupele, E. Viļķina, J. Vimba, M. Zemītis, J. Zilvers (jaunākais), J. Zilvers (vecākais), M. Zīverts), pret - nav, atturas - nav, dome nolemj:

1. veikt izmaiņas Siguldas novada pašvaldības domes 2025. gada 27. februāra sēdes lēmuma "Par Latvāņu izplatības ierobežošanas pasākumu organizatorisko plānu Siguldas novadā 2025.-2029. gadam" (prot. Nr. 3, 57. §) pielikumā "Latvāņu izplatības ierobežošanas pasākumu organizatoriskais plāns Siguldas novadā 2025.-2029. gadam", izdarot tajā šādus grozījumus:

1.1. izteikt Latvāņu izplatības ierobežošanas pasākumu organizatoriskā plāna Siguldas novadā 2025.-2029. gadam II sadaļas 36.-40. punktus šādā redakcijā:

[[..]

(informācija nav publiski pieejama pašvaldībā);

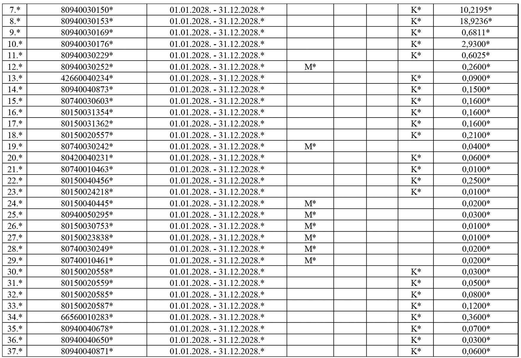
1.2. papildināt Latvāņu izplatības ierobežošanas pasākumu organizatoriskā plāna Siguldas novadā 2025.-2029. gadam II sadaļu ar jauniem punktiem 41.-94. šādā redakcijā:

1.2.1.

(informācija ir publiski pieejama pašvaldībā);

1.2.2.

[..]

[..]

[..]

[..]

(informācija nav publiski pieejama pašvaldībā);

1.3. papildināt Latvāņu izplatības ierobežošanas pasākumu organizatoriskā plāna Siguldas novadā 2025.-2029. gadam III sadaļu ar jauniem punktiem 35.-65. šādā redakcijā:

1.3.1.

(informācija ir publiski pieejama pašvaldībā);

1.3.2.

[..]

(informācija nav publiski pieejama pašvaldībā);

1.4. papildināt Latvāņu izplatības ierobežošanas pasākumu organizatoriskā plāna Siguldas novadā 2025.-2029. gadam IV sadaļu ar jauniem punktiem 7.-37. šādā redakcijā:

1.4.1.

(informācija ir publiski pieejama pašvaldībā);

1.4.2.

[..]

[..]

(informācija nav publiski pieejama pašvaldībā);

1.5. papildināt Latvāņu izplatības ierobežošanas pasākumu organizatoriskā plāna Siguldas novadā 2025.-2029. gadam V sadaļu ar jauniem punktiem 4.-34. šādā redakcijā:

1.5.1.

(informācija ir publiski pieejama pašvaldībā);

1.5.2.

[..]

(informācija nav publiski pieejama pašvaldībā).

1. Siguldas novada pašvaldības centrālās pārvaldes Komunikācijas pārvaldei publicēt oficiālajā izdevumā "Latvijas Vēstnesis", vietējās pašvaldības laikrakstā un tīmekļa vietnē www.sigulda.lv lēmumu par izmaiņām Latvāņu izplatības ierobežošanas pasākumu organizatoriskajā plānā Siguldas novadā 2025.-2029. gadam.

Sēdes vadītājs L. Kumskis

26.02.2026