Darbības ar dokumentu

Tiesību akts: spēkā esošs

Ministru kabineta noteikumi Nr. 648

Rīgā 2025. gada 4. novembrī (prot. Nr. 46 13. §)

Grozījumi Ministru kabineta 2020. gada 2. septembra noteikumos Nr. 560 "Noteikumi par elektroenerģijas ražošanu, izmantojot atjaunojamos energoresursus, kā arī par cenu noteikšanas kārtību un uzraudzību"

Izdoti saskaņā ar Elektroenerģijas tirgus likuma
29. panta ceturto daļu, 30.4 panta trešo daļu,
31.1 panta devīto daļu, 31.2 panta trešo un piekto daļu,
31.3 panta trešo daļu, 31.4 panta ceturto daļu
un 31.5 panta trešo daļu

Izdarīt Ministru kabineta 2020. gada 2. septembra noteikumos Nr. 560 "Noteikumi par elektroenerģijas ražošanu, izmantojot atjaunojamos energoresursus, kā arī par cenu noteikšanas kārtību un uzraudzību" (Latvijas Vēstnesis, 2020, 175. nr.; 2022, 57., 211. nr.; 2023, 110. nr.) šādus grozījumus:

1. Izteikt noteikumu nosaukumu šādā redakcijā:

"Noteikumi par elektroenerģijas ražošanu, izmantojot atjaunīgos energoresursus, kā arī par cenu noteikšanas kārtību un uzraudzību".

2. Izteikt 1.1. apakšpunktu šādā redakcijā:

"1.1. nosacījumus elektroenerģijas ražošanai, izmantojot atjaunīgos energoresursus;".

3. Izteikt 1.3. apakšpunktu šādā redakcijā:

"1.3. no atjaunīgajiem energoresursiem saražotās elektroenerģijas obligāti iepērkamā apjoma noteikšanas, īstenošanas un uzraudzības kārtību;".

4. Izteikt 1.4. apakšpunktu šādā redakcijā:

"1.4. no atjaunīgajiem energoresursiem saražotās elektroenerģijas cenas noteikšanas kārtību atkarībā no energoresursu veida;".

5. Izteikt 1.9. apakšpunktu šādā redakcijā:

"1.9. pārkāpumus, par kuriem atceļamas tiesības pārdot no atjaunīgajiem energoresursiem saražoto elektroenerģiju obligātā iepirkuma ietvaros, kā arī kārtību, kādā tās atceļamas;".

6. Izteikt 1.10. apakšpunktu šādā redakcijā:

"1.10. kārtību, kādā Valsts vides dienests (turpmāk - dienests) pārbauda lietderīgās siltumenerģijas izmantošanu, lai nodrošinātu atbilstību normatīvajos aktos noteiktajiem valsts atbalsta saņemšanas nosacījumiem;".

7. Izteikt 1.11. apakšpunktu šādā redakcijā:

"1.11. nosacījumus un metodiku nepamatoti vai nelikumīgi saņemtā valsts atbalsta atgūšanai par elektroenerģijas ražošanu no atjaunīgajiem energoresursiem;".

8. Izteikt 1.14. apakšpunktu šādā redakcijā:

"1.14. kārtību, kādā pārtrauc valsts atbalsta izmaksu un dienests pieņem lēmumu atcelt tiesības pārdot no atjaunīgajiem energoresursiem saražoto elektroenerģiju obligātā iepirkuma ietvaros."

9. Izteikt 3. punktu šādā redakcijā:

"3. Obligātā iepirkuma tiesības komersantiem ir attiecināmas uz elektroenerģiju, kas ražota no šādiem atjaunīgajiem energoresursiem:
3.1. hidroenerģija;
3.2. biogāze, tostarp poligonu gāze;
3.3. jebkāda veida cietā vai šķidrā biomasa;
3.4. vēja enerģija, ja vēja elektrostacijā uzstādītā elektriskā jauda nepārsniedz 0,25 MW un tā ir pieslēgta pie 20/0,4 kV elektroenerģijas sadales sistēmas operatora transformatora 0,4 kV pusē;
3.5. vēja enerģija, ja elektroenerģija tiek ražota elektrostacijās, kas nav minētas šo noteikumu 3.4. apakšpunktā."

10. Izteikt 6. punktu šādā redakcijā:

"6. Dienests organizē to elektroenerģijas ražotāju darbības uzraudzību un kontroli, kuri izmanto obligātā iepirkuma tiesības. Dienestam ir tiesības grozīt vai atcelt lēmumus, ar kuriem piešķirtas obligātā iepirkuma tiesības, kā arī pieņemt lēmumus par obligātā iepirkuma un valsts atbalsta izmaksas apturēšanu un nepamatoti vai nelikumīgi saņemtā valsts atbalsta atgūšanu. Dienests, pieņemot lēmumu obligātā iepirkuma uzraudzības vai kontroles ietvaros, par to nekavējoties informē attiecīgo elektroenerģijas sistēmas operatoru un publisko tirgotāju."

11. Izteikt 7. punktu šādā redakcijā:

"7. Ja elektrostacijā, kurā elektroenerģiju ražo no atjaunīgajiem energoresursiem, izmanto arī citus kurināmā veidus, tad elektrostaciju aprīko ar mērierīču sistēmu, kas ļauj atsevišķi uzskaitīt katra veida kurināmā patēriņu. Ja no atjaunīgajiem energoresursiem saražotā elektroenerģija veido vismaz 90 % no elektrostacijā patērētā kurināmā apjoma, tad pieņem, ka visa elektrostacijā saražotā elektroenerģija ir iegūta no atjaunīgajiem energoresursiem. Tās apjomu nosaka, izmantojot šādu formulu:

EAER = E × BAER × qAER , kur
Σ (Bi × qi)

EAER - elektrostacijā no atjaunīgajiem energoresursiem saražotās elektroenerģijas apjoms gadā (MWh);

E - kopējais elektrostacijā saražotais elektroenerģijas apjoms gadā (MWh);

BAER - elektrostacijā patērētais atjaunīgo energoresursu apjoms gadā (t vai m3);

qAER - elektrostacijā patērēto atjaunīgo energoresursu siltumspēja (MWh/t vai MWh/m3);

Bi - elektrostacijā patērētais viena noteikta veida kurināmā apjoms gadā (t vai m3);

qi - elektrostacijā patērētā viena noteikta veida kurināmā siltumspēja (MWh/t vai MWh/m3)."

12. Izteikt 8. punktu šādā redakcijā:

"8. Komersants, kurš elektroenerģijas ražošanai izmanto šo noteikumu 3.3. apakšpunktā minēto cieto biomasu, var lūgt dienestam atļauju pilnībā vai daļēji aizstāt šo noteikumu 2.1. apakšpunktā minētajā iesniegumā norādīto cietās biomasas kurināmo ar citu cietās biomasas kurināmo. Šādā gadījumā komersants iesniedz dienestā iesniegumu, kurā norāda informāciju par iecerēto cietās biomasas kurināmā aizstāšanu, pamatojot kurināmā aizstāšanu. Dienests izvērtē iesnieguma atbilstību šo noteikumu prasībām. Ja komersanta iesniegums atbilst minētajām prasībām, dienests pieņem lēmumu atļaut cietās biomasas kurināmā veida maiņu."

13. Izteikt II nodaļas nosaukumu šādā redakcijā:

"II. Cenas noteikšana elektroenerģijai, kas ražota, izmantojot atjaunīgos energoresursus".

14. Izteikt 10.19. apakšpunktu šādā redakcijā:

"10.19. biomasas elektrostacijām, kurās uzstādītā elektriskā jauda ir lielāka par 4 MW, 10 gadus pēc šo noteikumu 10.8. apakšpunktā minētā termiņa šo noteikumu 54. punktā minētajā gadījumā:

C = 84,452 × k × s, kur

C - cena bez pievienotās vērtības nodokļa, par kādu publiskais tirgotājs iepērk no elektrostacijas elektroenerģiju (euro/MWh), kas saražota no atjaunīgajiem energoresursiem;

k - cenas diferencēšanas koeficients saskaņā ar šo noteikumu 1. pielikumu;

s - cenas diferencēšanas koeficients pārkompensācijas novēršanai, kas noteikts ministrijas, Būvniecības valsts kontroles biroja (turpmāk - birojs), Enerģētikas un vides aģentūras (turpmāk - aģentūra) vai dienesta lēmumā par cenas diferencēšanas koeficienta piemērošanu pārkompensācijas novēršanai."

15. Izteikt 11.1 punktu šādā redakcijā:

"11.1 Ja dienests konstatē, ka komersants ir turpinājis saņemt valsts atbalstu pēc elektrostacijas pamatlīdzekļu pilna nolietojuma saskaņā ar normatīvajiem aktiem par grāmatvedības prasībām, dienests pieņem lēmumu par obligātā iepirkuma tiesību atcelšanu un šo noteikumu 61. punktā minēto lēmumu, nelikumīgi saņemto valsts atbalstu skaitot no dienas, kad iestājies elektrostacijas pamatlīdzekļu pilns nolietojums."

16. Izteikt 12.1. apakšpunktu šādā redakcijā:

"12.1. nav mazāks par 0 un nepārsniedz 1, un ir noteikts ministrijas, biroja, aģentūras vai dienesta lēmumā par cenas diferencēšanas koeficienta piemērošanu pārkompensācijas novēršanai;".

17. Izteikt 12.2. apakšpunktu šādā redakcijā:

"12.2. ir vienāds ar 1, ja ministrija, birojs, aģentūra vai dienests nav izdevis lēmumu par cenas diferencēšanas koeficienta piemērošanu pārkompensācijas novēršanai."

18. Izteikt 12.1 punktu šādā redakcijā:

"12.1 Komersants ne biežāk kā reizi gadā, iesniedzot iesniegumu, var lūgt dienestam palielināt vai samazināt šo noteikumu 10. punktā minētajās formulās izmantoto cenas diferencēšanas koeficientu pārkompensācijas novēršanai s, atbilstoši pārskatot atlikušo valsts atbalsta perioda ilgumu. Dienests pieņem lēmumu par šo noteikumu 10. punktā minētajās formulās izmantotā cenas diferencēšanas koeficienta pārkompensācijas novēršanai s un atlikušā valsts atbalsta perioda ilguma pārskatīšanu, ievērojot šo noteikumu 10. punktā minēto valsts atbalsta periodu ilgumu, kā arī šo noteikumu 59.11 un 59.12 punktā minētos nosacījumus."

19. Izteikt 16. punktu šādā redakcijā:

"16. Publiskais tirgotājs katru gadu līdz 15. februārim iesniedz dienestā šo noteikumu 14. punktā minētās komersantu sniegtās informācijas apkopojumu."

20. Izteikt 17. punktu šādā redakcijā:

"17. Dienests pārliecinās, vai komersanta šo noteikumu 38. punktā minētajā gada pārskatā norādītais biogāzes elektrostacijā izmantotā kurināmā izejvielu īpatsvars atbilst šo noteikumu 13. punktā minētajam apjomam."

21. Izteikt 19. punktu šādā redakcijā:

"19. Komersants ir tiesīgs atteikties no obligātā iepirkuma tiesībām, iesniedzot dienestā attiecīgu iesniegumu."

22. Izteikt 20. punktu šādā redakcijā:

"20. Publiskais tirgotājs pārtrauc elektroenerģijas iepirkšanu obligātā iepirkuma ietvaros no dienas, kad saskaņā ar šo noteikumu 19. punktā minēto dienesta lēmumu komersantam atceltas obligātā iepirkuma tiesības."

23. Izteikt 21. punktu šādā redakcijā:

"21. Lai pārdotu no atjaunīgajiem energoresursiem saražoto elektroenerģiju obligātā iepirkuma ietvaros:
21.1. elektrostaciju pieslēdz licencēta sistēmas operatora tīklam un aprīko ar saražotās, kā arī ar elektroenerģijas sistēmas operatora tīklā nodotās un no tīkla saņemtās elektroenerģijas komercuzskaites mēraparātiem, kas atbilst normatīvajiem aktiem par mērījumu vienotību;
21.2. šo noteikumu 3.2. un 3.3. apakšpunktā minēto elektrostaciju aprīko ar siltumenerģijas uzskaites mērīšanas līdzekļiem vai mērīšanas līdzekļu sistēmu, kas atbilst normatīvajiem aktiem par mērījumu vienotību, un nodrošina koģenerācijas iekārtā, atsevišķos siltumenerģijas ražošanas katlos vai citā veidā saražotās siltumenerģijas un lietderīgi izmantotās siltumenerģijas atsevišķu uzskaiti;
21.3. nodrošina biogāzes ražošanai izmantoto izejvielu uzskaiti;
21.4. nodrošina šo noteikumu 3.2. un 3.3. apakšpunktā minētās elektrostacijas koģenerācijas iekārtā izmantotā kurināmā, tai skaitā biogāzes, uzskaiti;
21.5. elektroenerģijas, siltumenerģijas un kurināmā uzskaites datus par esošo un iepriekšējo kalendāra gadu uzglabā elektrostacijā uz vietas un uzrāda dienesta pārstāvjiem pārbaudes veikšanas brīdī;
21.6. nodrošina, ka šo noteikumu 3.2. un 3.3. apakšpunktā minētajā elektrostacijā saražotā siltumenerģija tiek izmantota lietderīgi, tai skaitā nodrošina, ka lietderīgās siltumenerģijas kopējā apjomā netiek ieskaitīta tāda siltumenerģija, ko izmanto elektrostacijas pašpatēriņam."

24. Izteikt 22. punktu šādā redakcijā:

"22. Komersants, kurš izmanto obligātā iepirkuma tiesības, nodrošina, ka elektroenerģijas, siltumenerģijas un kurināmā padeves pieslēguma shēma ir sagatavota saskaņā ar vienotā tehnoloģiskā cikla principu, iesniegta dienestā un izvietota redzamā vietā telpā, kurā atrodas elektroenerģijas ražošanas vai koģenerācijas iekārta, vai uz konteinera, kurā atrodas koģenerācijas iekārta. Ja elektroenerģijas, siltumenerģijas un kurināmā padeves pieslēguma shēmā tiek veiktas izmaiņas, komersants pirms izmaiņu stāšanās spēkā par to informē dienestu, iesniedzot dienestā aktuālo shēmu."

25. Izteikt 26. punktu šādā redakcijā:

"26. Komersants, kurš ieguvis obligātā iepirkuma tiesības, iesniedz sistēmas operatoram, publiskajam tirgotājam un dienestam komersanta apliecinātu šo noteikumu 25. punktā minēto principiālo elektriskā pieslēguma shēmu. Publiskais tirgotājs pēc šo noteikumu 2.3. apakšpunktā minētā līguma stāšanās spēkā uzsāk elektrostacijā saražotās elektroenerģijas iepirkumu, ja komersants ir iesniedzis sistēmas operatoram, publiskajam tirgotājam un dienestam šo noteikumu 25. punktā minēto principiālo elektriskā pieslēguma shēmu. Ja elektrostacijā veiktas izmaiņas, komersants nodrošina, ka sistēmas operatoram, publiskajam tirgotājam un dienestam tiek iesniegta komersanta apliecināta, faktiskajai situācijai atbilstoša šo noteikumu 25. punktā minētā principiālā elektriskā pieslēguma shēma."

26. Izteikt 30.1 punktu šādā redakcijā:

"30.1 Ja komersanta sniegtie dati atbilstoši dienesta aprēķiniem liecina, ka elektroenerģijas pašpatēriņa apjoms ir mazāks, nekā attiecīgajai tehnoloģijai iespējams saskaņā ar vienotā tehnoloģiskā cikla principu vai iesniegtajām aktuālajām elektroenerģijas, siltumenerģijas un kurināmā padeves pieslēguma shēmām, dienests triju darbdienu laikā pēc šā fakta konstatēšanas pieņem lēmumu apturēt valsts atbalsta izmaksu par iepirkto elektroenerģiju par periodu no lēmuma spēkā stāšanās dienas līdz šo noteikumu 30.2 punktā minētā lēmuma pieņemšanas dienai."

27. Izteikt 30.2 punktu šādā redakcijā:

"30.2 Lai atjaunotu saskaņā ar šo noteikumu 30.1 punktu apturēto valsts atbalsta izmaksu, komersants mēneša laikā no dienas, kad stājies spēkā lēmums apturēt valsts atbalsta izmaksu par iepirkto elektroenerģiju, pierāda, ka elektrostacijā saražotās elektroenerģijas izlietošana tiek nodrošināta atbilstoši šo noteikumu 24. punktā minētajam nosacījumam. Dienests pārliecinās, ka komersanta sniegtā informācija pierāda atbilstību šo noteikumu 24. punktā minētajam nosacījumam, un mēneša laikā pieņem lēmumu par apturētās valsts atbalsta izmaksas atsākšanu. Publiskais tirgotājs apturēto valsts atbalsta izmaksu veic 10 kalendāra dienu laikā pēc minētā lēmuma spēkā stāšanās dienas."

28. Izteikt 30.3 punktu šādā redakcijā:

"30.3 Ja komersants šo noteikumu 30.2 punktā minētajā termiņā neiesniedz minētos pierādījumus vai ja pēc pierādījumu saņemšanas dienests konstatē, ka elektrostacijā saražotās elektroenerģijas izlietošana joprojām netiek nodrošināta atbilstoši šo noteikumu 24. punktā minētajam nosacījumam, dienests pieņem lēmumu par obligātā iepirkuma tiesību atcelšanu atbilstoši šo noteikumu 48.7. apakšpunktam."

29. Izteikt 32. punktu šādā redakcijā:

"32. Ja elektrostacijai ir vairāki pieslēgumi sistēmas operatora tīklam, saražotās elektroenerģijas pārpalikumu, kas atlicis pēc elektroenerģijas izlietošanas elektrostacijas darbības nodrošināšanai, katrā tirdzniecības intervālā aprēķina kā elektroenerģijas daudzumu, ko veido starpība starp sistēmas operatora tīklā nodoto un no sistēmas operatora tīkla saņemto elektroenerģiju visu sistēmas pieslēgumu ietvaros saskaņā ar šo noteikumu 25. punktā minēto principiālo elektriskā pieslēguma shēmu."

30. Izteikt 35. punktu šādā redakcijā:

"35. Ja elektroenerģijas obligātā iepirkuma apjoms (MWh), kas noteikts ar šo noteikumu 2.2. apakšpunktā minēto lēmumu vai ar ministrijas vai dienesta lēmumu, ar kuru grozīts kalendāra gadā obligātā iepirkuma ietvaros iepērkamās elektroenerģijas apjoms, pārsniedz lielumu, kas iegūts, reizinot šo noteikumu 34. punktā minēto attiecīgajam elektrostacijas veidam noteikto jaudas izmantošanas laiku ar elektrostacijā uzstādīto elektrisko jaudu (MW), kas norādīta šo noteikumu 2.3. apakšpunkā minētajā līgumā iepriekšējā kalendāra gada beigās, dienests līdz attiecīgā gada 1. aprīlim pieņem lēmumu, ar kuru groza kalendāra gadā obligātā iepirkuma ietvaros iepērkamās elektroenerģijas apjomu."

31. Izteikt 35.11. apakšpunktu šādā redakcijā:

"35.11. publiskajam tirgotājam par cenu, kas tiek aprēķināta, izmantojot šādu formulu:

C = CNPS - X (bez PVN), kur

C - cena bez pievienotās vērtības nodokļa, par kādu publiskais tirgotājs iepērk no elektrostacijas elektroenerģiju (euro/MWh) periodā, kurā apturēts valsts atbalsts;

CNPS - elektroenerģijas biržas Nord Pool AS Latvijas tirdzniecības apgabala nākamās dienas elektroenerģijas tirgus (Day-Ahead) tirdzniecības intervāla cena;

X - publiskā tirgotāja noteikta maksa, kas ietver pārdošanas un balansēšanas izmaksas un kuru publiskais tirgotājs publicē savā tīmekļvietnē;".

32. Izteikt 35.4 punktu šādā redakcijā:

"35.4 Komersants, kas ieguvis tiesības pārdot no atjaunīgajiem energoresursiem saražoto elektroenerģiju obligātā iepirkuma ietvaros, iesniedz pārvades sistēmas operatoram saražotās elektroenerģijas izcelsmes apliecinājumu izsniegšanai nepieciešamo informāciju."

33. Izteikt 35.5 punktu šādā redakcijā:

"35.5 Dienests apstiprina tā rīcībā esošo informāciju par elektroenerģijas ražošanas iekārtām, kas nepieciešama saražotās elektroenerģijas izcelsmes apliecinājumu izsniegšanai, un nosūta to pārvades sistēmas operatoram."

34. Izteikt 36. punktu šādā redakcijā:

"36. Dienests uztur datubāzi, kurā uzskaitīti visi šo noteikumu 2.2. apakšpunktā minētie lēmumi. Dienests savā tīmekļvietnē publicē šādu informāciju:
36.1. visu spēkā esošo lēmumu sarakstu, atbilstoši kuriem komersantam piešķirtas obligātā iepirkuma tiesības, norādot lēmuma izsniegšanas datumu, komersanta nosaukumu, elektrostacijas veidu, uzstādīto jaudu un elektroenerģijas apjomu gadā, ko komersants ir tiesīgs pārdot obligātā iepirkuma ietvaros;
36.2. katru gadu līdz 1. martam - summu pa mēnešiem, kas komersantam izmaksāta iepriekšējā gadā elektroenerģijas obligātā iepirkuma ietvaros, atbalsta apjomu pa mēnešiem virs elektroenerģijas tirgus cenas, komersanta nosaukumu, elektrostacijas veidu, uzstādīto jaudu un obligātā iepirkuma ietvaros iepirkto elektroenerģijas apjomu pa mēnešiem;
36.3. katru gadu līdz 1. septembrim - summu pa mēnešiem, kas komersantam elektroenerģijas obligātā iepirkuma ietvaros izmaksāta līdz kārtējā gada 30. jūnijam, atbalsta apjomu pa mēnešiem virs elektroenerģijas tirgus cenas, komersanta nosaukumu, elektrostacijas veidu, uzstādīto jaudu un obligātā iepirkuma ietvaros iepirkto elektroenerģijas apjomu pa mēnešiem;
36.4. elektrostaciju sarakstu, kurām tiek piemērots cenas diferencēšanas koeficients pārkompensācijas novēršanai."

35. Izteikt 37. punktu šādā redakcijā:

"37. Publiskais tirgotājs šo noteikumu 36.2. apakšpunktā minēto informāciju iesniedz dienestā katru gadu līdz 15. februārim un šo noteikumu 36.3. apakšpunktā minēto informāciju - katru gadu līdz 15. augustam."

36. Izteikt 38. punktu šādā redakcijā:

"38. Komersants, kurš izmanto obligātā iepirkuma tiesības, katru gadu līdz 1. martam iesniedz dienestā pārskatu par elektrostacijas darbību iepriekšējā gadā atbilstoši šo noteikumu 4. pielikumam. Pārskatu iesniedz elektroniskajā sistēmā, kas paredzēta elektrostaciju gada pārskatu iesniegšanai. Sistēmas operators pēc dienesta pieprasījuma iesniedz datus par elektroenerģijas apjomu, kuru komersants nodevis tīklā un saņēmis no tīkla, ieskaitot datus par minētās elektroenerģijas apjomu tajos elektroenerģijas pieslēguma punktos, kas ir tieši vai netieši (pastarpināti) saistīti ar elektrostaciju un tās iekārtām un ierīcēm atbilstoši vienotā tehnoloģiskā cikla principam. Pārskatā ietver šādu informāciju un pievieno šādus dokumentus:
38.1. datus par elektrostacijas darbību - saražoto elektroenerģiju, elektrostacijā patērēto elektroenerģiju, izmantoto biogāzes vai biomasas elektrostacijas tehnoloģiju, biogāzes ražošanai izmantotās izejvielas, to apjomu un dokumentus, kas pamato izejvielu izcelsmi un apjomu, kopējo uzstādīto elektrisko un siltuma jaudu, dokumentus, kas pamato siltumenerģijas lietderīgu izlietojumu, aprakstu un aprēķinu par izmantotā kurināmā siltumspējas noteikšanu, aprakstu par izmantotā kurināmā apjoma noteikšanu un paskaidrojuma rakstu par pārskata gadā veiktajām izmaiņām elektrostacijā (ja šādas izmaiņas ietekmē pārskatā norādāmos datus), tai skaitā norādot elektrostacijas elementus, kurus skar attiecīgās izmaiņas;
38.2. akreditētas institūcijas (turpmāk - auditors) ziņojumu par saražoto siltumenerģiju, lietderīgo siltumenerģiju un patērēto kurināmo, tai skaitā izejvielu īpatsvaru atbilstoši šo noteikumu 13. un 15. punktam, ar norādi par elektrostacijas atbilstību minētajiem kritērijiem, kā arī minētā auditora sagatavotu detalizētu ziņojumu par biomasas vai biogāzes elektrostacijas gada pārskatā sniegtās informācijas atbilstību un pamatotību, kā arī par veiktajām darbībām un pārbaudītajiem dokumentiem, tostarp pievieno sarakstu, kurā norādīti šo noteikumu 21. punktā minēto mērīšanas līdzekļu numuri un verificēšanas vai kalibrēšanas termiņi;
38.3. ziņojumu par atbilstību šo noteikumu 5. pielikumā minētajiem kvalitātes vērtēšanas kritērijiem;
38.4. Sabiedrisko pakalpojumu regulēšanas komisijas (turpmāk - regulators) lēmuma kopiju par siltumenerģijas tarifu (ja siltumenerģijas tarifu apstiprinājis regulators);
38.5. dokumentu kopijas, kas pamato siltumenerģijas lietderīgu izlietojumu;
38.6. informāciju par elektrostacijas pamatlīdzekļu nolietojumu."

37. Izteikt 39. punktu šādā redakcijā:

"39. Divu mēnešu laikā pēc obligātā iepirkuma tiesību atcelšanas vai valsts atbalsta termiņa beigām komersants iesniedz šo noteikumu 38. punktā minēto pārskatu par kārtējo gadu. Ja dienests, pamatojoties uz šajā punktā minētajā pārskatā sniegto informāciju, konstatē pārkāpumus, par kuriem saskaņā ar šiem noteikumiem būtu atceļamas obligātā iepirkuma tiesības, dienests pieņem lēmumu par nepamatoti vai nelikumīgi saņemtā valsts atbalsta atmaksāšanu."

38. Izteikt 39.1 punktu šādā redakcijā:

"39.1 Ja komersants pēc obligātā iepirkuma tiesību atcelšanas vai pēc valsts atbalsta termiņa beigām šo noteikumu 39. punktā minētajā termiņā nav iesniedzis šo noteikumu 38. punktā minēto gada pārskatu, dienests mēneša laikā nosūta brīdinājumu par nepamatoti vai nelikumīgi saņemtā valsts atbalsta atmaksāšanu. Ja komersants mēneša laikā pēc šajā punktā minētā brīdinājuma saņemšanas neiesniedz gada pārskatu, dienests pieņem lēmumu par pienākumu komersantam mēneša laikā atmaksāt publiskajam tirgotājam saņemto nepamatoto vai nelikumīgo valsts atbalstu."

39. Izteikt 41. punktu šādā redakcijā:

"41. Komersantam, kurš līdz 1. martam nav iesniedzis šo noteikumu 38. punktā minēto gada pārskatu, dienests mēneša laikā nosūta brīdinājumu par iespējamu obligātā iepirkuma tiesību zaudēšanu. Ja komersants divu mēnešu laikā pēc šajā punktā minētā brīdinājuma saņemšanas neiesniedz gada pārskatu, dienests pieņem lēmumu par komersantam piešķirto obligātā iepirkuma tiesību atcelšanu un lēmumu par pienākumu komersantam mēneša laikā atmaksāt publiskajam tirgotājam saņemto nepamatoto vai nelikumīgo valsts atbalstu."

40. Izteikt 42. punktu šādā redakcijā:

"42. Lai pārliecinātos par šo noteikumu 38. punktā minētajā pārskatā sniegtās informācijas atbilstību šo noteikumu prasībām, dienests ir tiesīgs pieprasīt, lai komersants iesniedz papildu informāciju un skaidrojumus. Komersantam ir pienākums 10 darbdienu laikā pēc dienesta pieprasījuma saņemšanas iesniegt pieprasīto informāciju. Ja komersants 10 darbdienu laikā nesniedz pieprasīto informāciju, dienests pieņem lēmumu par komersantam piešķirto obligātā iepirkuma tiesību atcelšanu."

41. Izteikt 43. punktu šādā redakcijā:

"43. Dienests reizi ceturksnī pārliecinās, vai komersantam Valsts ieņēmumu dienesta publiskojamo datu bāzē nav Valsts ieņēmumu dienesta administrēto nodokļu un nodevu parādu, kas pārsniedz 150 euro. Ja dienests konstatē, ka komersantam ir nodokļu vai nodevu parādi, kuru kopsumma pārsniedz 150 euro, dienests nosūta komersantam brīdinājumu par iespējamu obligātā iepirkuma tiesību zaudēšanu. Dienests, veicot minēto pārbaudi, pārliecinās maksātnespējas reģistrā, vai komersantam, kuram ir nodokļu vai nodevu parāds, nav ierosināts tiesiskās aizsardzības process. Šajā punktā minēto brīdinājumu komersantam neizsaka, ja komersanta nodokļu parādu kopsumma pārsniedz 150 euro, bet par tiem ir ierosināts tiesiskās aizsardzības process, laikposmā no tiesiskās aizsardzības procesa ierosināšanas līdz izbeigšanas brīdim."

42. Izteikt 44. punktu šādā redakcijā:

"44. Dienests, administrējot Elektroenerģijas tirgus likuma 31.1 pantā minēto uzraudzības nodevu, 10 darbdienu laikā pēc nodevas samaksas termiņa beigām pārbauda, vai komersants to ir samaksājis. Ja komersants uzraudzības nodevu noteiktajā termiņā nav samaksājis, dienests piecu darbdienu laikā pēc fakta konstatēšanas pieņem lēmumu apturēt valsts atbalsta izmaksu par elektroenerģiju, kas no tā iepirkta pēc Elektroenerģijas tirgus likuma 31.1 pantā noteiktā uzraudzības nodevas samaksas termiņa beigām. Publiskais tirgotājs nākamajā darbdienā pēc lēmuma stāšanās spēkā līdz dienai, kad saskaņā ar šo noteikumu 57. punktu pieņemts jauns dienesta lēmums, aptur valsts atbalsta izmaksu komersantam par elektroenerģiju, kas no tā iepirkta pēc Elektroenerģijas tirgus likuma 31.1 pantā noteiktā uzraudzības nodevas samaksas termiņa beigām."

43. Izteikt 45. punktu šādā redakcijā:

"45. Ja publiskā tirgotāja rīcībā ir informācija par iespējamu elektrostacijas neatbilstību normatīvajiem aktiem, tas nekavējoties par to informē dienestu. Lai pārliecinātos par elektrostacijas atbilstību, dienests ir tiesīgs pieprasīt, lai komersants iesniedz papildu informāciju un skaidrojumus. Komersantam ir pienākums pēc dienesta pieprasījuma saņemšanas iesniegt pieprasīto informāciju. Ja komersants dienesta noteiktajā termiņā, kas nav mazāks par 10 darbdienām, nesniedz pieprasīto informāciju, dienests var lemt par komersantam piešķirto obligātā iepirkuma tiesību atcelšanu."

44. Izteikt 46. punktu šādā redakcijā:

"46. Lai pārliecinātos, vai komersanta, kuram ir obligātā iepirkuma tiesības, norādītie dati ir pareizi, dienestam ir tiesības pieprasīt informāciju personai, kas atbilstoši komersanta norādītajām ziņām ir iepirkusi siltumenerģiju, un minētajai personai ir pienākums šādu informāciju sniegt."

45. Izteikt 47. punktu šādā redakcijā:

"47. Dienests pārbauda elektrostacijas atbilstību normatīvo aktu prasībām un iesniegtās informācijas ticamību. Komersantam ir pienākums nodrošināt dienesta pārstāvjiem piekļuvi elektrostacijai, tai skaitā kurināmā sagatavošanas iekārtām, mērīšanas līdzekļiem un lietderīgā siltuma nodošanas mērīšanas līdzekļiem (arī tad, ja tie atrodas ārpus elektrostacijas). Komersantam ir pienākums sniegt dienesta pārstāvjiem pārbaudes ietvaros pieprasīto komersanta uzraudzības īstenošanai nepieciešamo informāciju. Informāciju, kas dienesta pārstāvjiem nepieciešama šo noteikumu 47.7. apakšpunktā minētā pārbaudes akta sagatavošanai, komersants var iesniegt dienestā 10 darbdienu laikā pēc dienesta veiktās pārbaudes. Dienesta pārstāvjiem un komersantam pārbaudes ietvaros ir šādas tiesības un pienākumi:
47.1. komersants šo noteikumu 38. punktā minētajā pārskatā norāda oficiālo elektronisko adresi saziņai ar dienestu, kontaktpersonu (arī tās elektroniskā pasta adresi un tālruņa numuru), ar kuru dienests var sazināties saistībā ar dienesta pārstāvju plānotajām pārbaudēm, kā arī kontaktpersonu (arī tās tālruņa numuru), kura var nodrošināt dienesta pārstāvjiem piekļuvi elektrostacijai. Komersants piecu darbdienu laikā informē dienestu par izmaiņām minētajā kontaktinformācijā;
47.2. dienesta pārstāvji ir tiesīgi elektrostacijā veikt plānotu vai neplānotu pārbaudi;
47.3. dienests brīdina komersantu par plānotās pārbaudes veikšanas datumu vismaz trīs darbdienas iepriekš. Informāciju par plānoto pārbaudi dienests nosūta komersantam uz šo noteikumu 47.1. apakšpunktā minētajām elektroniskā pasta adresēm. Ja dienesta noteiktajā datumā komersants nevar nodrošināt dienesta pārstāvjiem iespēju veikt elektrostacijas pārbaudi, dienests atkārtoti nosaka pārbaudes veikšanas datumu ne vēlāk kā trīs darbdienas pēc sākotnēji noteiktā datuma;
47.4. ja dienesta pārstāvji ieradušies elektrostacijā bez iepriekšēja brīdinājuma un komersants nevar nodrošināt tiem iespēju veikt elektrostacijas pārbaudi, dienesta pārstāvji ne vēlāk kā trīs darbdienas pēc pirmās ierašanās elektrostacijā atkārtoti ierodas elektrostacijā, lai veiktu pārbaudi;
47.5. ja komersants nav nodrošinājis dienesta pārstāvjiem iespēju veikt elektrostacijas pārbaudi, dienests nekavējoties pieņem lēmumu apturēt valsts atbalsta izmaksu par iepirkto elektroenerģiju par periodu no lēmuma spēkā stāšanās dienas līdz šo noteikumu 47.9.1. vai 47.10. apakšpunktā minētā lēmuma pieņemšanas dienai;
47.6. ja komersants saskaņā ar šo noteikumu 47.3. un 47.4. apakšpunktu atkārtoti nenodrošina dienesta pārstāvjiem iespēju veikt elektrostacijas pārbaudi, dienests mēneša laikā pēc atkārtoti noteiktā pārbaudes veikšanas datuma pieņem lēmumu, ar kuru atceļ komersantam piešķirtās obligātā iepirkuma tiesības;
47.7. dienesta pārstāvji pārbaudes veikšanas laikā elektrostacijā, par to brīdinot komersantu, ir tiesīgi veikt foto un video fiksāciju, ievērojot normatīvos aktus par personu datu aizsardzību;
47.8. dienests mēneša laikā pēc veiktās pārbaudes sagatavo pārbaudes aktu un nosūta to komersantam. Pārbaudes aktā norāda veiktajā pārbaudē konstatēto;
47.9. pēc šo noteikumu 47.3. vai 47.4. apakšpunktā minētās atkārtotās pārbaudes veikšanas dienests atkarībā no šo noteikumu 47.8. apakšpunktā minētā pārbaudes aktā konstatētā veic vienu no šādām darbībām:
47.9.1. ja dienests guvis pārliecību, ka elektrostacijas darbībā tiek nodrošinātas šajos noteikumos un Elektroenerģijas tirgus likumā noteiktās prasības, tas pieņem lēmumu par saskaņā ar šo noteikumu 47.5. apakšpunktu apturētās valsts atbalsta izmaksas atsākšanu. Publiskais tirgotājs apturēto valsts atbalsta izmaksu veic 10 kalendāra dienu laikā pēc minētā lēmuma spēkā stāšanās dienas;
47.9.2. ja dienests elektrostacijas darbībā konstatējis šo noteikumu vai Elektroenerģijas tirgus likuma pārkāpumu, tas izsaka brīdinājumu vai pieņem lēmumu atbilstoši šajos noteikumos noteiktajam;
47.10. ja dienests pēc šo noteikumu 47.3. vai 47.4. apakšpunktā minētās atkārtotās pārbaudes veikšanas izteicis brīdinājumu un pārkāpums, par kuru izteikts brīdinājums, ir novērsts, dienests pieņem lēmumu par saskaņā ar šo noteikumu 47.5. apakšpunktu apturētās valsts atbalsta izmaksas atsākšanu. Publiskais tirgotājs apturēto valsts atbalsta izmaksu veic 10 kalendāra dienu laikā pēc minētā lēmuma spēkā stāšanās dienas."

46. Izteikt 48. punktu šādā redakcijā:

"48. Dienests pieņem lēmumu, ar kuru atceļ komersantam piešķirtās obligātā iepirkuma tiesības, ja:
48.1. dienests konstatē, ka elektrostacijā izmantotās tehnoloģijas veids vai kurināmais neatbilst šo noteikumu 2.1. apakšpunktā minētajā iesniegumā norādītajai informācijai vai elektrostacijā izmantotais kurināmais neatbilst šo noteikumu 2.2. apakšpunktā minētajā lēmumā noteiktajam. Dienests lēmumu pieņem mēneša laikā pēc šo noteikumu 47.8. apakšpunktā minētā pārbaudes akta sagatavošanas;
48.2. komersantam pasludina maksātnespējas procesu. Dienests lēmumu pieņem piecu darbdienu laikā no brīža, kad konstatēts fakts par komersanta maksātnespējas procesa pasludināšanu;
48.3. šo noteikumu 2.2. apakšpunktā minētajā lēmumā noteiktajā termiņā nav uzsākta elektroenerģijas ražošana;
48.4. nav nodrošināta siltumenerģijas lietderīga izmantošana;
48.5. ja netiek veikta kurināmā vai kurināmā izejvielu uzskaite atbilstoši šo noteikumu 21. punktam vai elektrostacijā nav uzstādīti mērīšanas līdzekļi vai mērīšanas līdzekļu sistēmas;
48.6. biogāzes vai biomasas elektrostacijā izmantotā kurināmā izejviela neatbilst šo noteikumu 13. punktam;
48.7. elektrostacijā netiek nodrošināta saražotās elektroenerģijas izlietošana elektrostacijas darbības nodrošināšanai;
48.8. dienests konstatē, ka komersants ir zaudējis elektrostacijas īpašuma vai lietojuma tiesības."

47. Izteikt 48.1 punktu šādā redakcijā:

"48.1 Ja dienests biogāzes vai biomasas elektrostacijā konstatē izmantotā kurināmā veida izmaiņas un izmantotais kurināmais atbilst šajos noteikumos noteiktajiem obligātā iepirkuma tiesību iegūšanas un izmantošanas nosacījumiem, bet veiktās izmaiņas nav saskaņotas ar dienestu, tas nosūta komersantam brīdinājumu par iespējamu obligātā iepirkuma tiesību zaudēšanu. Komersants divu mēnešu laikā pēc šajā punktā minētā brīdinājuma saņemšanas izmaiņas kurināmā izmantošanā saskaņo ar dienestu. Ja komersants minētās izmaiņas nesaskaņo, dienests mēneša laikā pieņem lēmumu par obligātā iepirkuma tiesību atcelšanu."

48. Izteikt 49. punktu šādā redakcijā:

"49. Dienests nosūta komersantam brīdinājumu par iespējamu obligātā iepirkuma tiesību zaudēšanu, ja konstatē, ka elektrostacija neatbilst vai periodā, par kuru iesniegts šo noteikumu 38. punktā minētais gada pārskats, nav atbildusi vismaz vienam no šādiem kritērijiem:
49.1. elektrostacijā uzstādītā elektriskā jauda, kas pieslēgta sistēmas operatora tīklam, neatbilst līgumā ar publisko tirgotāju norādītajai jaudai;
49.2. komersants nav iesniedzis dienestā šo noteikumu 21.1. un 21.2. apakšpunktā minēto mērīšanas līdzekļu (izņemot sistēmas operatora komercuzskaites mēraparātus) verificēšanas sertifikātus vai dienests konstatē, ka elektrostacijā uzstādītie mērīšanas līdzekļi nav atbilstoši šo noteikumu 21.1. vai 21.2. apakšpunktā minētajām prasībām;
49.3. elektrostacija neatbilst normatīvajiem aktiem, kas nosaka prasības elektrostaciju darbībai enerģētikas jomā, vai konstatēta tāda neatbilstība šo noteikumu prasībām, par kuru nav noteikta brīdinājuma izteikšana vai lēmuma pieņemšana saskaņā ar kādu citu šo noteikumu punktu, ja šī neatbilstība var ietekmēt izmaksājamā valsts atbalsta apmēru;
49.4. elektrostacijā neatrodas uzskaites dati par esošo un iepriekšējo kalendāra gadu vai tie nav tikuši uzrādīti dienesta pārstāvjiem pārbaudes veikšanas brīdī;
49.5. komersanta iesniegtā šo noteikumu 14. punktā minētā informācija vai informācija par biogāzes elektrostacijā patērēto kurināmā daudzumu un lietderīgās siltumenerģijas daudzumu, ko komersants iesniedz publiskajam tirgotājam, vai šo noteikumu 38. punktā minētajā gada pārskatā minētā informācija neatbilst faktiskajai situācijai un šāda minētās informācijas neatbilstība ietekmējusi izmaksājamā valsts atbalsta apmēru, tādējādi publiskais tirgotājs iepircis elektroenerģiju obligātā iepirkuma ietvaros par lielāku cenu vai lielākā apmērā, nekā pienāktos;
49.6. šo noteikumu 3.2. apakšpunktā minētajā biogāzes elektrostacijā netiek nodrošināta siltumenerģijas lietderīga izmantošana saskaņā ar šo noteikumu 21.1 punktu."

49. Izteikt 50. punktu šādā redakcijā:

"50. Dienests pārliecinās par lietderīgu elektrostacijā saražotās siltumenerģijas izmantošanu atbilstoši vienotā tehnoloģiskā cikla principam:
50.1. izvērtējot, vai dokumenti, ko komersants pievienojis šo noteikumu 38. punktā minētajam gada pārskatam, pierāda, ka lietderīgā siltumenerģija tiek pārdota siltumenerģijas lietotājam vai izmantota apkures, ventilācijas, karstā ūdens apgādes vai tehnoloģiskā siltumenerģijas patēriņa nodrošināšanai savā uzņēmumā, kas nav elektrostacijas pašpatēriņš;
50.2. pārbaudēs konstatējot, vai šo noteikumu 50.1. apakšpunktā minētie dokumenti atbilst faktiskajai situācijai, tai skaitā konstatējot, vai elektrostacijā saražotā siltumenerģija ir izmantota ekonomiski pamatota siltumapgādes vai dzesēšanas pieprasījuma apmierināšanai."

50. Izteikt 50.1 punktu šādā redakcijā:

"50.1 Ja dienests konstatē, ka vairākas elektrostacijas, attiecībā uz kurām komersantam vai komersantiem ir spēkā esošas obligātā iepirkuma tiesības, atbilstoši vienotā tehnoloģiskā cikla principam ir uzskatāmas par vienu elektrostaciju, bet tās darbojas kā vairākas atsevišķas elektrostacijas, dienests 10 darbdienu laikā pēc šā fakta konstatēšanas pieņem lēmumu apturēt valsts atbalstu par iepirkto elektroenerģiju par periodu no lēmuma spēkā stāšanās dienas līdz šo noteikumu 50.2 1. apakšpunktā vai 50.3 punktā minētā lēmuma pieņemšanas dienai."

51. Izteikt 50.2 punktu šādā redakcijā:

"50.2 Ja komersants iesniedz dienestā dokumentus, kas pierāda, ka elektrostacijā tiek ievērots vienotā tehnoloģiskā cikla princips, kā arī šo noteikumu 25. punktā minēto principiālo elektrisko pieslēgumu shēmu, dienests pārliecinās par elektrostacijas atbilstību vienotā tehnoloģiskā cikla principam un mēneša laikā:
50.21. konstatējot, ka neatbilstība vienotā tehnoloģiskā cikla principam ir novērsta, pieņem lēmumu par saskaņā ar šo noteikumu 50.1 punktu apturētā valsts atbalsta atsākšanu. Publiskais tirgotājs apturēto valsts atbalstu atsāk no minētā lēmuma spēkā stāšanās dienas vai, ja neatbilstības novēršanai elektrostacijas tikušas apvienotas atbilstoši šo noteikumu 50.5 punktam, no šo noteikumu 50.5 punktā minēto lēmuma grozījumu spēkā stāšanās dienas;
50.22. konstatējot, ka neatbilstība vienotā tehnoloģiskā cikla principam nav novērsta, par to informē komersantu un saskaņā ar šo noteikumu 50.1 punktu apturēto valsts atbalstu neatsāk."

52. Izteikt 50.3 punktu šādā redakcijā:

"50.3 Ja komersants sešu mēnešu laikā no šo noteikumu 50.1 punktā minētā lēmuma spēkā stāšanās dienas dienestam neiesniedz dokumentus, kas pierāda, ka ir novērsta neatbilstība, kuras dēļ pieņemts šo noteikumu 50.1 punktā minētais lēmums, dienests pieņem lēmumu par obligātā iepirkuma tiesību atcelšanu."

53. Izteikt 50.5 punktu šādā redakcijā:

"50.5 Komersants, kurš ir apvienojošās elektrostacijas īpašnieks, iesniedz dienestam dokumentus, kas pierāda apvienošanu, un šo noteikumu 25. punktā minēto elektrostacijas principiālo elektriskā pieslēguma shēmu. Dienests pēc elektrostaciju apvienošanas veic grozījumus šo noteikumu 2.2. apakšpunktā minētajā lēmumā, kas pieņemts attiecībā uz apvienojošo elektrostaciju, nosakot obligātā iepirkuma ietvaros iepērkamās elektroenerģijas apjomu atbilstoši tiem valsts atbalsta saņemšanas termiņiem, kādi izriet no noteikto elektroenerģijas apjomu pārdošanas uzsākšanas obligātā iepirkuma ietvaros, obligātā iepirkuma ietvaros iepērkamās elektroenerģijas aprēķinam piemērojamos pieslēguma vietu sistēmas operatora tīkliem mērījumu punktus un kopējo uzstādīto elektrisko jaudu, kā arī visu minēto lielumu izmaiņas atlikušajā valsts atbalsta periodā atbilstoši apvienotajām elektrostacijām piešķirtajām obligātā iepirkuma tiesībām. Dienests vienlaikus atceļ tos šo noteikumu 2.2. apakšpunktā minētos lēmumus, kas pieņemti attiecībā uz elektrostacijām, kuras pēc apvienošanas vairs nepastāv kā atsevišķas elektrostacijas."

54. Izteikt 50.6 punktu šādā redakcijā:

"50.6 Ja šo noteikumu 50.1 punktā minēto neatbilstību vienotā tehnoloģiskā cikla principam dienests konstatējis attiecībā uz šo noteikumu 50.5 punktā minēto komersantu, kuram nodotas tiesības un kurš apvieno elektrostaciju, kuras darbību reglamentē šie noteikumi, un elektrostaciju, kuras darbību reglamentē Ministru kabineta 2020. gada 2. septembra noteikumi Nr. 561 "Noteikumi par elektroenerģijas ražošanu, uzraudzību un cenu noteikšanu, ražojot elektroenerģiju koģenerācijā", tā turpmākai darbībai no šo noteikumu 50.5 punktā minētā lēmuma grozījumu spēkā stāšanās dienas piemēro Ministru kabineta 2020. gada 2. septembra noteikumus Nr. 561 "Noteikumi par elektroenerģijas ražošanu, uzraudzību un cenu noteikšanu, ražojot elektroenerģiju koģenerācijā"."

55. Izteikt 52. punktu šādā redakcijā:

"52. Dienests izsaka komersantam brīdinājumu, ja konstatē, ka šo noteikumu 38. punktā minētajā gada pārskatā sniegtā informācija neatbilst rezultātiem, kas iegūti atbilstoši šo noteikumu 5. pielikumā minētajiem kvalitātes vērtēšanas kritērijiem, izvērtējot šo noteikumu 2.1. apakšpunktā minēto iesniegumu."

56. Izteikt 53. punktu šādā redakcijā:

"53. Dienests triju mēnešu laikā pēc šo noteikumu 38. punktā minētā pārskata saņemšanas izvērtē, vai elektrostacijas pašpatēriņš atbilst šo noteikumu prasībām. Ja elektrostacijas tīklā nodotās elektroenerģijas apjoms ir vienāds ar saražotās elektroenerģijas apjomu, dienests pieņem lēmumu par obligātā iepirkuma tiesību atcelšanu."

57. Izteikt 54. punktu šādā redakcijā:

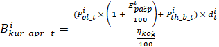
"54. Triju mēnešu laikā pēc šo noteikumu 52. punktā minētā brīdinājuma saņemšanas komersants iesniedz dienestā informāciju par elektrostacijas atbilstību. Ja minētā pārskata dati liecina, ka elektrostacija joprojām neatbilst noteiktajiem kritērijiem, dienests par to informē publisko tirgotāju. Sākot ar nākamo darbdienu pēc minētās informācijas saņemšanas no dienesta, publiskais tirgotājs piemēro šo noteikumu 10.14., 10.15., 10.16., 10.17., 10.18. vai 10.19. apakšpunktā minēto elektroenerģijas cenas aprēķināšanas formulu."

58. Izteikt 55. punktu šādā redakcijā:

"55. Divu mēnešu laikā pēc šo noteikumu 43. punktā minētā brīdinājuma saņemšanas komersants iesniedz dienestā dokumentus, kas apliecina elektrostacijas un komersanta atbilstību attiecīgajam kritērijam."

59. Izteikt 55.1 punktu šādā redakcijā:

"55.1 Sešu mēnešu laikā pēc šo noteikumu 49.1. apakšpunktā minētā brīdinājuma saņemšanas komersants, kam ir obligātā iepirkuma tiesības, nodrošina elektrostacijas atbilstību attiecīgajam kritērijam un iesniedz dienestā dokumentus, kas pierāda attiecīgo atbilstību."

60. Izteikt 55.2 punktu šādā redakcijā:

"55.2 Četru mēnešu laikā pēc šo noteikumu 49.3. apakšpunktā minētā brīdinājuma saņemšanas komersants, kam ir obligātā iepirkuma tiesības, nodrošina elektrostacijas atbilstību attiecīgajam kritērijam un iesniedz dienestā dokumentus, kas pierāda attiecīgo atbilstību."

61. Izteikt 56. punktu šādā redakcijā:

"56. Vienlaikus ar šo noteikumu 49.2. apakšpunktā minēto brīdinājumu dienests pieņem lēmumu apturēt valsts atbalstu par iepirkto elektroenerģiju par periodu no lēmuma spēkā stāšanās dienas līdz šo noteikumu 56.2 punktā minētā lēmuma pieņemšanas dienai, kā arī lēmumu par pienākumu komersantam mēneša laikā atmaksāt publiskajam tirgotājam saņemto nepamatoto valsts atbalstu."

62. Izteikt 56.1 punktu šādā redakcijā:

"56.1 Lai atjaunotu ar šo noteikumu 56. punktu apturēto valsts atbalstu, komersants divu mēnešu laikā pēc šo noteikumu 49.2. apakšpunktā minētā brīdinājuma saņemšanas nodrošina elektrostacijas atbilstību attiecīgajam kritērijam. Ja komersants ir atmaksājis publiskajam tirgotājam nepamatoti izmaksāto valsts atbalstu, dienests mēneša laikā pieņem lēmumu par saskaņā ar šo noteikumu 56. punktu apturētā valsts atbalsta atsākšanu. Publiskais tirgotājs apturēto valsts atbalstu atsāk no minētā lēmuma spēkā stāšanās dienas."

63. Izteikt 56.2 punktu šādā redakcijā:

"56.2 Ja komersants saskaņā ar šo noteikumu 56.1 punktu nenodrošina elektrostacijas atbilstību attiecīgajam kritērijam vai nepamatoti saņemtā valsts atbalsta atmaksāšanu publiskajam tirgotājam, dienests mēneša laikā pieņem lēmumu par obligātā iepirkuma tiesību atcelšanu."

64. Izteikt 56.3 punktu šādā redakcijā:

"56.3 Vienlaikus ar šo noteikumu 49.5. apakšpunktā minēto brīdinājumu dienests pieņem lēmumu apturēt valsts atbalstu par iepirkto elektroenerģiju par periodu no lēmuma spēkā stāšanās dienas līdz šo noteikumu 56.4 punktā minētā lēmuma pieņemšanas dienai, kā arī lēmumu par pienākumu komersantam mēneša laikā atmaksāt publiskajam tirgotājam saņemto nepamatoto valsts atbalstu, ko publiskais tirgotājs izmaksājis par periodu, kurā attiecīgā neatbilstība ir konstatēta."

65. Izteikt 56.4 punktu šādā redakcijā:

"56.4 Ja komersants saskaņā ar šo noteikumu 56.3 punktu ir atmaksājis publiskajam tirgotājam nepamatoti saņemto valsts atbalstu, dienests mēneša laikā pieņem lēmumu par saskaņā ar šo noteikumu 56.3 punktu apturētā valsts atbalsta atsākšanu. Publiskais tirgotājs apturēto valsts atbalstu atsāk no minētā lēmuma spēkā stāšanās dienas."

66. Izteikt 56.5 punktu šādā redakcijā:

"56.5 Ja komersants nenodrošina nepamatoti saņemtā valsts atbalsta atmaksāšanu saskaņā ar šo noteikumu 56.3 punktu, dienests mēneša laikā pieņem lēmumu par obligātā iepirkuma tiesību atcelšanu."

67. Izteikt 56.6 punktu šādā redakcijā:

"56.6 Vienlaikus ar šo noteikumu 49.6. apakšpunktā minēto brīdinājumu dienests pieņem lēmumu par pienākumu komersantam mēneša laikā atmaksāt publiskajam tirgotājam saņemto valsts atbalstu par iepriekšējo pārskata gadu."

68. Izteikt 56.7 punktu šādā redakcijā:

"56.7 Triju mēnešu laikā pēc šo noteikumu 49.6. apakšpunktā minētā brīdinājuma saņemšanas komersants iesniedz dienestā informāciju par elektrostacijas atbilstību šo noteikumu 21.1 punktā minētajiem kritērijiem periodā, kas sākas no attiecīgā gada 1. janvāra un beidzas ne agrāk kā divus mēnešus pēc šo noteikumu 49.6. apakšpunktā minētā brīdinājuma saņemšanas. Ja noteiktajā termiņā komersants informāciju dienestam nav iesniedzis vai minētajā informācijā ietvertie dati liecina, ka elektrostacija joprojām neatbilst noteiktajiem kritērijiem, dienests par to informē publisko tirgotāju. Sākot ar nākamo darbdienu pēc minētās informācijas saņemšanas no dienesta, publiskais tirgotājs piemēro šo noteikumu 10.14., 10.15., 10.16. vai 10.17. apakšpunktā minēto elektroenerģijas cenas aprēķināšanas formulu."

69. Izteikt 56.8 punktu šādā redakcijā:

"56.8 Ja saskaņā ar šo noteikumu 38. punktā minētā pārskata datiem šo noteikumu 3.2. apakšpunktā minētajā biogāzes elektrostacijā netiek nodrošināta siltumenerģijas lietderīga izmantošana saskaņā ar šo noteikumu 21.1 punktu arī kalendāra gadā, kurā tai saskaņā ar šo noteikumu 56.7 punktu tiek uzsākts piemērot šo noteikumu 10.14., 10.15., 10.16. vai 10.17. apakšpunktā minēto elektroenerģijas cenas aprēķināšanas formulu, vai kādā citā no tam sekojošajiem kalendāra gadiem, dienests pieņem lēmumu, ar kuru atceļ komersantam piešķirtās obligātā iepirkuma tiesības un nosaka pienākumu komersantam mēneša laikā atmaksāt publiskajam tirgotājam nepamatoti saņemto valsts atbalstu par periodu no iepriekšējā kalendāra gada sākuma līdz lēmuma spēkā stāšanās dienai."

70. Izteikt 57. punktu šādā redakcijā:

"57. Ja komersants vēlas atjaunot valsts atbalsta izmaksu, kas apturēta saskaņā ar šo noteikumu 44. punktu, tas iesniedz dienestā apliecinājumu par uzraudzības nodevas samaksu. Dienests triju darbdienu laikā pārliecinās par uzraudzības nodevas samaksas faktu. Ja dienests konstatē, ka atbilstoši sniegtajam apliecinājumam komersants uzraudzības nodevu ir samaksājis, dienests piecu darbdienu laikā no šā fakta konstatēšanas pieņem lēmumu par apturētā valsts atbalsta izmaksas atsākšanu ar nākamā kalendāra mēneša pirmo datumu pēc lēmuma spēkā stāšanās dienas."

71. Izteikt 58. punktu šādā redakcijā:

"58. Ja ministrija, birojs, aģentūra vai dienests iepriekšējo triju gadu laikā komersantam ir nosūtījis trīs brīdinājumus saskaņā ar šo noteikumu 49. vai 52. punktu un dienests konstatē komersanta vai tā elektrostacijas neatbilstību kādam no šo noteikumu 49. vai 52. punktā minētajiem kritērijiem, dienests mēneša laikā pieņem lēmumu, ar kuru tiek atceltas komersantam piešķirtās obligātā iepirkuma tiesības."

72. Izteikt 59. punktu šādā redakcijā:

"59. Ja pēc šo noteikumu 55., 55.1 vai 55.2 punktā minētā termiņa tiek konstatēta neatbilstība šo noteikumu 43. punktā vai 49.1. vai 49.3. apakšpunktā minētajiem kritērijiem vai ja komersants nav iesniedzis šo noteikumu 55.1 punktā minētos dokumentus par atbilstību šo noteikumu 49.1. apakšpunktam vai šo noteikumu 55.1 punktā minētos dokumentus par atbilstību šo noteikumu 49.3. apakšpunktam, dienests mēneša laikā pieņem lēmumu, ar kuru atceļ komersantam piešķirtās obligātā iepirkuma tiesības."

73. Izteikt 59.1 punktu šādā redakcijā:

"59.1 Dienests, veicot obligātā iepirkuma tiesību izmantošanas uzraudzību, var piesaistīt ārējo ekspertu."

74. Izteikt 59.2 punktu šādā redakcijā:

"59.2 Pārvades sistēmas operators katru mēnesi līdz desmitajam datumam sniedz dienestam informāciju par tiem komersantiem, kuri šo noteikumu 35.3 punktā noteiktajā termiņā par to īpašumā esošajām elektrostacijām nav iesnieguši neatkarīga akreditēta auditora apstiprinātu deklarāciju. Dienests piecu darbdienu laikā pēc pārvades sistēmas operatora sniegtās informācijas saņemšanas pieņem lēmumu apturēt valsts atbalsta izmaksu par šajā punktā minētajās elektrostacijās saražoto elektroenerģiju par periodu kopš šo noteikumu 35.3 punktā minētā termiņa beigām."

75. Izteikt 59.3 punktu šādā redakcijā:

"59.3 Ja komersants vēlas atjaunot saskaņā ar šo noteikumu 59.2 punktu apturēto valsts atbalsta izmaksu par iepirkto elektroenerģiju, tas iesniedz dienestā apliecinājumu par šo noteikumu 35.3 punktā minēto neatkarīga akreditēta auditora apstiprinātu jaukto enerģijas avotu ražošanas vienības deklarāciju iesniegšanu pārvades sistēmas operatoram. Dienests triju darbdienu laikā pārliecinās par minēto deklarāciju iesniegšanas faktu. Ja dienests konstatē, ka atbilstoši sniegtajam apliecinājumam minētās deklarācijas ir iesniegtas pārvades sistēmas operatoram, dienests piecu darbdienu laikā pieņem lēmumu par saskaņā ar šo noteikumu 59.2 punktu apturētās valsts atbalsta izmaksas atsākšanu. Publiskais tirgotājs apturēto valsts atbalsta izmaksu veic 10 kalendāra dienu laikā pēc minētā lēmuma spēkā stāšanās dienas."

76. Izteikt 59.4 punktu šādā redakcijā:

"59.4 Dienests veic aprēķinu par elektrostacijas kopējo kapitālieguldījumu iekšējo peļņas normu visam valsts atbalsta periodam saskaņā ar šo noteikumu 59.10 punktu. Dienests nosaka cenas diferencēšanas koeficientu pārkompensācijas novēršanai saskaņā ar šo noteikumu 59.12 punktu un pieņem lēmumu, ar kuru nosaka cenas diferencēšanas koeficientu pārkompensācijas novēršanai s. Lēmumā nosaka tā piemērošanas sākuma datumu."

77. Izteikt 59.5 punktu šādā redakcijā:

"59.5 Dienests elektrostacijas kopējo kapitālieguldījumu iekšējās peļņas normu visam valsts atbalsta periodam pārrēķina un cenas diferencēšanas koeficientu pārkompensācijas novēršanai s aprēķina reizi gadā, kā arī šādos gadījumos:
59.51. ja tiek konstatētas elektrostacijas uzstādītās elektriskās vai siltuma jaudas izmaiņas, tostarp īstenojot šo noteikumu 50.4 punktā minēto apvienošanu;
59.52. ja tiek pārskatītas un mainītas šo noteikumu 6. pielikumā minētās vērtības;
59.53. ja tiek konstatēti elektrostacijas pārkompensācijas riski;
59.54. mēneša laikā no brīža, kad komersantam ir beigušās obligātā iepirkuma tiesības;
59.55. mēneša laikā no brīža, kad komersants saskaņā ar šo noteikumu 19. punktu ir iesniedzis iesniegumu par atteikšanos no obligātā iepirkuma tiesībām, vai no brīža, kad pieņemts lēmums par obligātā iepirkuma tiesību atcelšanu pirms obligātā iepirkuma tiesību beigu datuma."

78. Izteikt 59.6 punktu šādā redakcijā:

"59.6 Komersantam ir pienākums pastāvīgi sekot līdzi rādītājiem, kas var ietekmēt kopējo kapitālieguldījumu iekšējās peļņas normu, un nekavējoties informēt dienestu par apstākļiem, kas var norādīt uz pārkompensācijas risku iestāšanos."

79. Izteikt 59.7 punktu šādā redakcijā:

"59.7 Dienests ir tiesīgs pieprasīt, lai komersants iesniedz informāciju un dokumentus, kas nepieciešami kopējo kapitālieguldījumu iekšējās peļņas normas aprēķinam. Komersantam ir pienākums 10 darbdienu laikā pēc dienesta pieprasījuma saņemšanas iesniegt pieprasīto informāciju."

80. Izteikt 59.8 punktu šādā redakcijā:

"59.8 Ja komersants noteiktajā termiņā neiesniedz šo noteikumu 59.7 punktā minēto informāciju un dokumentus (izņemot šo noteikumu 59.10 5., 59.10 6. un 59.10 9. apakšpunktā minētos gadījumus) vai ja komersanta iesniegtā informācija un dokumenti nav pilnīgi vai līdz tiesisku pierādījumu ticamības pakāpei nepierāda komersanta sniegtās ziņas, dienests pieņem lēmumu apturēt valsts atbalsta izmaksu par iepirkto elektroenerģiju. Publiskais tirgotājs nākamajā darbdienā pēc lēmuma stāšanās spēkā aptur valsts atbalsta izmaksu par iepirkto elektroenerģiju līdz jauna dienesta lēmuma pieņemšanai saskaņā ar šo noteikumu 59.9 punktu."

81. Izteikt 59.9 punktu šādā redakcijā:

"59.9 Ja komersants vēlas atjaunot saskaņā ar šo noteikumu 59.8 punktu apturēto valsts atbalsta izmaksu, tas divu mēnešu laikā pēc valsts atbalsta izmaksas apturēšanas iesniedz dienestā šo noteikumu 59.7 punktā minēto informāciju un dokumentus. Dienests piecu darbdienu laikā pēc minētās informācijas un dokumentu saņemšanas pieņem lēmumu par saskaņā ar šo noteikumu 59.8 punktu apturētā valsts atbalsta izmaksas atsākšanu. Publiskais tirgotājs apturētā valsts atbalsta izmaksu veic 10 kalendāra dienu laikā pēc minētā lēmuma spēkā stāšanās dienas. Ja komersants divu mēnešu laikā nesniedz pieprasīto informāciju un dokumentus, dienests pieņem lēmumu par komersantam piešķirto obligātā iepirkuma tiesību atcelšanu."

82. Izteikt 59.10 punktu šādā redakcijā:

"59.10 Dienests elektrostacijas kopējo kapitālieguldījumu iekšējās peļņas normas aprēķinu veic šādā kārtībā:
59.101. aprēķinā izmanto šo noteikumu 6. pielikumā minētās formulas;
59.102. aprēķinam nepieciešamos datus par elektroenerģijas apjomu un cenu, kas iepirkta obligātā iepirkuma ietvaros, pieprasa publiskajam tirgotājam;
59.103. aprēķinā norāda elektrostacijas darbību raksturojošo rādītāju faktiskās vērtības gan ieņēmumu, gan izdevumu daļā, izņemot elektrostacijas ekspluatācijas izmaksu vērtības, ko nosaka atbilstoši šo noteikumu 6. pielikumā minētajām līmeņatzīmēm;
59.104. elektrostacijas ekspluatācijas izmaksas nosaka atbilstoši šo noteikumu 6. pielikumā minētajām līmeņatzīmēm procentuāli no elektrostacijā veiktajām investīcijām un atkarībā no elektrostacijas veida;
59.105. ja komersants nevar iesniegt elektrostacijā veikto sākotnējo investīciju faktiskos datus, tad, veicot aprēķinu, tiek pieņemts, ka elektrostacijā veikto sākotnējo investīciju apjoms ir vienāds ar 0 (izņemot šo noteikumu 59.10 9. apakšpunktā minēto gadījumu);
59.106. ja komersants par kādu elektrostacijas darbības periodu nevar iesniegt kurināmā cenas vai siltumenerģijas ražošanas tarifa faktiskos datus, tad aprēķinā par šo periodu, kas nav īsāks par vienu kalendāra mēnesi, izmanto šo noteikumu 6. pielikumā minētās līmeņatzīmes;
59.107. ja elektrostacijā saražotā elektroenerģija tiek pārdota ārpus obligātā iepirkuma, komersants iesniedz pārdotās elektroenerģijas apjoma un cenas faktiskās vērtības par katru norēķinu periodu;
59.108. tīrās naudas plūsmas aprēķinā iekļauj tikai tās elektrostacijā veiktās faktiskās papildu investīcijas, kas veiktas, lai atbilstoši ražošanas tehnoloģijai nodrošinātu elektrostacijas tehnoloģiskās funkcijas atbilstoši vienotā tehnoloģiskā cikla principam vai palielinātu elektrostacijas elektrisko jaudu. Tīrās naudas plūsmas aprēķinā papildu investīciju apjomu (izteiktu euro vērtībā) iekļauj gadā, kurā tās tikušas veiktas;
59.109. ja komersants sākotnējās investīcijas elektrostacijā ir veicis, pirms ir pieņemts lēmums par obligātā iepirkuma tiesību piešķiršanu saskaņā ar Elektroenerģijas tirgus likuma 29. pantu, aprēķinā norāda elektrostacijā veikto sākotnējo investīciju faktiskās vērtības vai nosaka tās saskaņā ar šo noteikumu 6. pielikumā minētajām līmeņatzīmēm;
59.1010. ja komersantam ir apturēta un pēc tam atjaunota valsts atbalsta izmaksa, aprēķinā iekļauj arī valsts atbalstu, kas komersantam nav izmaksāts periodā, kad valsts atbalsta izmaksa ir bijusi apturēta."

83. Izteikt 59.13 punktu šādā redakcijā:

"59.13 Ja atbilstoši šo noteikumu 59.12 punktam noteiktais cenas diferencēšanas koeficients pārkompensācijas novēršanai s ir vienāds ar 0 un aprēķinātā elektrostacijas kopējo kapitālieguldījumu iekšējā peļņas norma valsts atbalsta perioda beigās pārsniedz 9 %, dienests veic aprēķinu par atgūstamā valsts atbalsta apmēru un pieņem lēmumu par nelikumīgi saņemtā valsts atbalsta atgūšanu saskaņā ar šo noteikumu 61. punktu. Atgūstamā valsts atbalsta apmērs tiek aprēķināts, aizstājot ieņēmumus no elektroenerģijas pārdošanas ar ikmēneša maksājumu, kas nodrošinātu, ka elektrostacijas kopējo kapitālieguldījumu iekšējā peļņas norma valsts atbalsta perioda beigās nepārsniedz 9 %."

84. Izteikt 60. punktu šādā redakcijā:

"60. Ja dienests konstatē, ka komersants ir saņēmis nepamatotu valsts atbalstu, dienests nekavējoties pieņem lēmumu par pienākumu komersantam mēneša laikā atmaksāt publiskajam tirgotājam nepamatoti saņemto valsts atbalstu, ko publiskais tirgotājs izmaksājis par visu periodu, kurā komersants valsts atbalstu saņēmis nepamatoti. Šo noteikumu 47.6., 48.1., 48.4., 48.5., 48.6., 48.7. apakšpunktā un 56. punktā minētajos gadījumos šis periods nav īsāks par laikposmu kopš šo noteikumu 38. punktā minētā pēdējā gada pārskata iesniegšanas termiņa. Šo noteikumu 39. un 41. punktā minētajos gadījumos šis periods nav īsāks par laikposmu kopš šo noteikumu 38. punktā minētā gada pārskata perioda pirmās dienas. Šo noteikumu 58. punktā minētajā gadījumā šis periods nav īsāks par laikposmu kopš pēdējā brīdinājuma paziņošanas komersantam. Šo noteikumu 59. punktā minētajā gadījumā šis periods nav īsāks par laikposmu kopš brīdinājuma paziņošanas komersantam."

85. Izteikt 60.1 punktu šādā redakcijā:

"60.1 Ja dienesta rīcībā nonākuši pierādījumi par pārkāpumiem, par kuriem atbilstoši attiecīgajā laikposmā spēkā esošajiem normatīvajiem aktiem ir bijis jāatceļ obligātā iepirkuma tiesības, bet tas nav ticis izdarīts, dienests mēneša laikā pēc fakta konstatēšanas pieņem lēmumu par obligātā iepirkuma tiesību atcelšanu kopš minētā pārkāpuma izdarīšanas brīža, vienlaikus pieņemot lēmumu par pienākumu komersantam mēneša laikā atmaksāt publiskajam tirgotājam nepamatoti saņemto valsts atbalstu, ko publiskais tirgotājs izmaksājis par visu periodu, kurā komersants valsts atbalstu saņēmis nepamatoti."

86. Izteikt 60.2 punktu šādā redakcijā:

"60.2 Komersants, iesniedzot motivētu iesniegumu, var lūgt dienestu pagarināt šo noteikumu 56., 56.3, 56.6, 56.8, 60. un 60.1 punktā minēto nepamatoti saņemtā valsts atbalsta atmaksas termiņu, maksājumu sadalot daļās. Dienests, pamatojoties uz komersanta iesniegumu, var lemt par atmaksājamā nepamatoti saņemtā valsts atbalsta sadalīšanu daļās, nosakot komersantam pienākumu to pilnībā atmaksāt publiskajam tirgotājam ne vēlāk kā triju mēnešu laikā no šo noteikumu 56., 56.3, 56.6, 56.8, 60. un 60.1 punktā minētā lēmuma spēkā stāšanās brīža."

87. Izteikt 61. punktu šādā redakcijā:

"61. Ja tiek konstatēts, ka komersants pārkāpis Elektroenerģijas tirgus likumā vai šajos noteikumos minētos valsts atbalsta nosacījumus un saņemtais valsts atbalsts uzskatāms par nelikumīgu valsts atbalstu, dienests mēneša laikā pēc šā fakta konstatēšanas pieņem lēmumu, ar kuru atceļ komersantam piešķirtās obligātā iepirkuma tiesības un nosaka komersantam pienākumu atmaksāt publiskajam tirgotājam šo noteikumu ietvaros saņemto nelikumīgo valsts atbalstu kopā ar procentiem saskaņā ar Komercdarbības atbalsta kontroles likuma IV vai V nodaļu."

88. Izteikt 63. punktu šādā redakcijā:

"63. Ja komersants nepilda šo noteikumu 56., 56.1, 56.6, 56.8, 60., 60.1, 60.2 vai 61. punktā minēto lēmumu tajā noteiktajā termiņā, publiskais tirgotājs triju darbdienu laikā par to informē dienestu, norādot neatmaksātās summas apmēru, tai skaitā šo noteikumu 61. punktā minētos procentus."

89. Izteikt 63.1 punktu šādā redakcijā:

"63.1 Dienests pieņem lēmumu atcelt komersantam piešķirtās tiesības pārdot no atjaunīgajiem energoresursiem saražoto elektroenerģiju obligātā iepirkuma ietvaros, sākot ar nākamo dienu, kad sasniegts Elektroenerģijas tirgus likuma 30.4 panta pirmajā un otrajā daļā noteiktais termiņš."

90. Izteikt 63.2 punktu šādā redakcijā:

"63.2 Publiskais tirgotājs pārtrauc elektroenerģijas iepirkšanu obligātā iepirkuma ietvaros no dienas, kad saskaņā ar šo noteikumu 63.1 punktā minēto dienesta lēmumu komersantam atceltas obligātā iepirkuma tiesības."

91. Izteikt 80. punktu šādā redakcijā:

"80. Dienests pēc šo noteikumu 79. punktā minētā termiņa beigām pieprasa pārvades sistēmas operatoram informāciju par elektroenerģijas ražošanas iekārtām, kuras ir reģistrētas izcelsmes apliecinājumu reģistrā. Ja elektroenerģijas ražošanas iekārta, par kuru ir iegūtas obligātā iepirkuma tiesības, nav reģistrēta izcelsmes apliecinājumu reģistrā, dienests piecu darbdienu laikā pēc pārvades sistēmas operatora sniegtās informācijas saņemšanas pieņem lēmumu apturēt valsts atbalsta izmaksu par elektroenerģiju par periodu kopš šo noteikumu 79. punktā minētā termiņa beigām. Publiskais tirgotājs nākamajā darbdienā pēc minētā lēmuma stāšanās spēkā aptur valsts atbalsta izmaksu komersantam par iepirkto elektroenerģiju."

92. Izteikt 81. punktu šādā redakcijā:

"81. Ja komersants vēlas atjaunot saskaņā ar šo noteikumu 80. punktu apturēto valsts atbalsta izmaksu, tas iesniedz dienestā apliecinājumu par elektroenerģijas ražošanas iekārtas reģistrēšanu izcelsmes apliecinājumu reģistrā. Dienests triju darbdienu laikā pārliecinās par elektroenerģijas ražošanas iekārtas reģistrēšanas faktu. Ja dienests konstatē, ka atbilstoši sniegtajam apliecinājumam elektroenerģijas ražošanas iekārta ir reģistrēta izcelsmes apliecinājumu reģistrā, dienests piecu darbdienu laikā pieņem lēmumu par saskaņā ar šo noteikumu 80. punktu apturētā valsts atbalsta izmaksas atsākšanu. Publiskais tirgotājs apturēto valsts atbalsta izmaksu veic 10 kalendāra dienu laikā pēc minētā lēmuma spēkā stāšanās dienas."

93. Izteikt 82. punktu šādā redakcijā:

"82. Ja konstatēta elektrostacijas neatbilstība elektroenerģijas pašpatēriņa prasībām laikposmā līdz 2020. gada 10. septembrim (ieskaitot), dienests pieņem lēmumu par šajā laikposmā komersanta saņemtā valsts atbalsta atmaksāšanu publiskajam tirgotājam vai ieturējumu no izmaksājamā valsts atbalsta finanšu apjoma atbilstoši konstatētās pašpatēriņa neatbilstības apmēram."

94. Izteikt 4. pielikumu jaunā redakcijā (1. pielikums).

95. Izteikt 6. pielikumu jaunā redakcijā (2. pielikums).

Ministru prezidente E. Siliņa

Klimata un enerģētikas ministra
pienākumu izpildītājs ‒
zemkopības ministrs A. Krauze

 

1. pielikums
Ministru kabineta
2025. gada 4. novembra
noteikumiem Nr. 648

"4. pielikums
Ministru kabineta
2020. gada 2. septembra
noteikumiem Nr. 560

Elektrostacijas gada pārskats

Elektrostacijas gada pārskatā norāda šādu informāciju:

1. Vispārīga informācija par elektrostaciju:

1.1. komersants (nosaukums, juridiskā adrese, reģistrācijas numurs);

1.2. oficiālā elektroniskā adrese;

1.3. elektrostacijas atrašanās vieta (adrese vai zemesgabala kadastra numurs);

1.4. elektrostacijā uzstādīto ģenerētājvienību kopējā elektriskā jauda (MW);

1.5. izmantotā tehnoloģija;

1.6. izmantotie atjaunīgie energoresursi (ūdens, vējš, biomasa, biogāze, saule);

1.7. darbinieku skaits;

1.8. persona, kura saskaņā ar Noziedzīgi iegūtu līdzekļu legalizācijas un terorisma un proliferācijas finansēšanas novēršanas likuma 1. panta 5. punkta "a" vai "b" apakšpunktu uzskatāma par kapitālsabiedrības patieso labuma guvēju, un dati, kas ļauj šo personu nepārprotami identificēt1;

1.9. lietderīgi izmantotās siltumenerģijas lietotājs (nosaukums, juridiskā adrese, reģistrācijas numurs) vai izmantošanas veids, ja siltumenerģija netiek pārdota;

1.10. biomasas vai biogāzes koģenerācijas iekārtās uzstādītā siltuma jauda (MW) (bruto2);

1.11. hidroelektrostacijas faktiskais ūdens kritums (m);

1.12. spriegums tīklā, kuram pieslēgta elektrostacija (kV);

1.13. kontaktpersona (e-pasta adrese, tālruņa numurs), ar kuru dienests var sazināties saistībā ar plānotajām pārbaudēm;

1.14. kontaktpersona (tālruņa numurs), kura var nodrošināt dienesta pārstāvjiem piekļuvi elektrostacijai;

1.15. skaitītāju identifikācijas numuri.

2. Informācija par elektrostacijas darbību:

2.1. informācija par elektrostacijā patērēto kurināmo un kurināmā izejvielu3 (pa mēnešiem, kopā gadā):

2.1.1. kurināmā nosaukums:

2.1.1.1. patēriņš naturālā izteiksmē;

2.1.1.2. siltumspēja;

2.1.1.3. patēriņš enerģijas izteiksmē (MWh);

2.1.1.4. cena;

2.1.2. kurināmā izejvielas nosaukums atbilstoši Ministru kabineta 2020. gada 2. septembra noteikumu Nr. 560 "Noteikumi par elektroenerģijas ražošanu, izmantojot atjaunīgos energoresursus, kā arī par cenu noteikšanas kārtību un uzraudzību" (turpmāk - noteikumi) 2. pielikumam5:

2.1.2.1. patēriņš naturālā izteiksmē;

2.1.2.2. īpatsvars kopējā izejvielu apjomā (%);

2.1.3. kurināmā izejvielu piegādes attālums4;

2.2. informācija par elektrostacijā saražoto un patērēto siltumenerģiju (pa mēnešiem, kopā gadā):

2.2.1. saražotā siltumenerģija (MWh);

2.2.2. lietderīgā siltumenerģija (MWh);

2.2.3. siltumenerģijas pašpatēriņš (MWh);

2.3. informācija par elektrostacijā saražoto un pirkto elektroenerģiju (pa mēnešiem, kopā gadā):

2.3.1. saražotā elektroenerģija (MWh);

2.3.2. tīklā nodotā elektroenerģija (MWh), tai skaitā:

2.3.2.1. obligātā iepirkuma ietvaros pārdotā elektroenerģija (MWh);

2.3.2.2. elektroenerģijas tirgū pārdotā elektroenerģija (MWh);

2.3.3. pirktā elektroenerģija (MWh).

3. Auditora ziņojums.

4. Dokumentu kopijas, kas pamato siltumenerģijas efektīvu izlietojumu.

5. Informācija par kurināmā siltumspējas noteikšanu:

5.1. apraksts par izmantotā kurināmā siltumspējas noteikšanu;

5.2. aprēķina piemērs par izmantotā kurināmā siltumspējas noteikšanu.

6. Informācija par mērīšanas līdzekļiem un mērīšanas līdzekļu sistēmām:

6.1. mērīšanas līdzekļu un mērīšanas līdzekļu sistēmu uzskaitījums, identifikācijas numuri un verificēšanas vai kalibrēšanas termiņi;

6.2. izmantoto kurināmā mērīšanas līdzekļu vai mērīšanas līdzekļu sistēmu darbības apraksts (ja attiecināms);

6.3. biogāzes stacijā izmantoto biogāzes izejvielu mērīšanas līdzekļu vai mērīšanas līdzekļu sistēmu darbības apraksts (ja attiecināms).

7. Dokumentu kopijas par laboratorijās veiktajiem mērījumiem.

8. Dokumenti, kas pamato biogāzes iekārtā izmantoto izejvielu veidu, izcelsmi un apjomu.

9. Paskaidrojuma raksts par pārskata gadā veiktajām izmaiņām elektrostacijā, tai skaitā norādot elektrostacijas elementus, ko skar attiecīgās izmaiņas.

10. Informācija par elektrostacijas pamatlīdzekļu nolietojumu.

Piezīmes.

1 Ja komersants objektīvu iemeslu dēļ nevar noskaidrot personu, kura uzskatāma par kapitālsabiedrības patieso labuma guvēju, vai nevar iegūt atsevišķas ziņas par minēto personu vai ja šādas personas nav, komersants norāda iemeslus, kuru dēļ ziņas par kapitālsabiedrības patiesajiem labuma guvējiem netiek sniegtas.

2 Koģenerācijas elektrostacijā uzstādītā siltuma jauda, kas atbilst elektrostacijā uzstādīto koģenerācijas iekārtu izgatavotāja noteikto bruto siltumjaudu summai.

3 Norāda informāciju par katru elektrostacijā izmantoto kurināmā un kurināmā izejvielas veidu.

4 Aizpilda komersants, kurš kopā ar iesniegumu iesniedzis noteikumu 5. pielikuma 2. punktā minēto informāciju.

5 Aizpilda komersants, kas elektroenerģiju ražo biogāzes elektrostacijā."

 

2. pielikums
Ministru kabineta
2025. gada 4. novembra
noteikumiem Nr. 648

"6. pielikums
Ministru kabineta
2020. gada 2. septembra
noteikumiem Nr. 560

Elektrostacijas kopējo kapitālieguldījumu iekšējās peļņas normas aprēķins

I. Elektrostacijas kopējo kapitālieguldījumu iekšējās peļņas normas aprēķina gaita

1. Iekšējā peļņas norma ir diskonta likmes vērtība, pie kuras pašreizējā diskontētās naudas plūsmas vērtība ir vienāda ar sākotnēji ieguldītā kapitāla vērtību. Iekšējā peļņas norma tiek aprēķināta uz pēdējo gadu, kad ražotājs var izmantot tiesības, kas piešķirtas saskaņā ar Elektroenerģijas tirgus likuma 29. pantu. Iekšējo peļņas normu aprēķina, ņemot vērā elektrostacijas vienotā tehnoloģiskā cikla principu:

1.1. iekšējās peļņas normas aprēķinam izmanto datus par elektrostacijā veiktajām investīcijām, faktisko ieņēmumu un izdevumu datus un ekspluatācijas izmaksu līmeņatzīmes. Ja komersants nevar iesniegt kādu no elektrostacijas faktisko ieņēmumu vai izdevumu datiem, tad iekšējās peļņas normas aprēķinam norēķinu periodam, kas nav mazāks par vienu mēnesi, izmanto pielikumā noteiktās līmeņatzīmes;

1.2. aprēķinam nepieciešamos datus par elektroenerģijas apjomu un cenu, kas iepirkta obligātā iepirkuma ietvaros, dienests pieprasa publiskajam tirgotājam.

2. Iekšējo peļņas normu aprēķina ar pakāpeniskām iterācijām, izmantojot šādu formulu:

, kur

TNPt - tīrā naudas plūsma jeb naudas plūsma (euro), kas paliek komersanta rīcībā pēc visu ražošanas izdevumu segšanas, kalendāra gadā t;

r - iekšējā peļņas norma (%);

t - kalendāra gads, par kuru tiek veikts aprēķins;

t0 - kalendāra gads, kad komersants ir sācis izmantot valsts atbalstu;

n - kalendāra gads, kad komersanta tiesībām, kas piešķirtas saskaņā ar Elektroenerģijas tirgus likuma 29. pantu, beidzas izmantošanas laiks;

- komersanta elektrostacijā veikto investīciju faktiskās vērtības (euro) atbilstoši iesniegtajai pamatojošajai dokumentācijai;

Ipiesl - komersanta elektrostacijas elektroenerģijas pieslēguma faktiskās izmaksas (euro) elektroenerģijas tīklam atbilstoši iesniegtajai pamatojošajai dokumentācijai;

- līdz kalendāra gadam t0 (neieskaitot) par komersanta elektrostaciju piešķirtais un faktiski saņemtais publiskais finansējums (euro), tai skaitā maksājumi no valsts vai pašvaldības budžeta, kredītu procentu likmju subsidēšana, kā arī cita finanšu palīdzība, kas tiek piešķirta vai sniegta no valsts, pašvaldības vai Eiropas Savienības budžeta līdzekļiem un ārvalstu finanšu palīdzības līdzekļiem.

3. Ja komersants investīcijas elektrostacijā ir veicis, pirms ir pieņemts lēmums par tiesību piešķiršanu saskaņā ar Elektroenerģijas tirgus likuma 29. pantu, investīcijas elektrostacijā var noteikt saskaņā ar līmeņatzīmēm:

, kur

- elektrostacijas uzstādītā elektriskā jauda (MW), kas norādīta līgumā ar publisko tirgotāju, kalendāra gadā t0;

- īpatnējo investīciju līmeņatzīmes (euro/kW) saskaņā ar šā pielikuma 1. tabulu.

4. Tīro naudas plūsmu kalendāra gadā t aprēķina, izmantojot šādu formulu:

, kur

- tīrā naudas plūsma jeb naudas plūsma (euro), kas paliek komersanta rīcībā pēc visu ražošanas izdevumu segšanas, kalendāra gada t kalendāra mēnesī i;

- elektrostacijā veikto papildu investīciju faktiskās vērtības (euro), lai atbilstoši ražošanas tehnoloģijai un vienotā tehnoloģiskā cikla principam nodrošinātu elektrostacijas tehnoloģiskās funkcijas vai lai palielinātu elektrostacijas elektrisko jaudu, kalendāra gadā t;

Dt - kalendāra gadā t par komersanta elektrostaciju piešķirtais un faktiski saņemtais publiskais finansējums (euro), tai skaitā maksājumi no valsts vai pašvaldības budžeta, kredītu procentu likmju subsidēšana, kā arī cita finanšu palīdzība, kas tiek piešķirta vai sniegta no valsts, pašvaldības vai Eiropas Savienības budžeta līdzekļiem un ārvalstu finanšu palīdzības līdzekļiem.

5. Tīro naudas plūsmu kalendāra gada t kalendāra mēnesī i aprēķina, izmantojot šādu formulu:

, kur

- elektrostacijas ieņēmumi (euro) kalendāra gada t kalendāra mēnesī i;

- elektrostacijas izdevumi (euro) kalendāra gada t kalendāra mēnesī i.

6. Elektrostacijas ieņēmumus kalendāra gada t kalendāra mēnesī i  aprēķina, izmantojot faktiskos datus vai līmeņatzīmes:

6.1. elektrostacijas ieņēmumi (euro) kalendāra gada t kalendāra mēnesī i , aprēķinam izmantojot faktiskos datus:

, kur

- no komersanta elektrostacijas obligātā iepirkuma ietvaros iepirktais elektroenerģijas apjoms (MWh) kalendāra gada t kalendāra mēnesī i. Nākotnes periodiem mēnesī no komersanta elektrostacijas obligātā iepirkuma ietvaros iepirkto elektroenerģijas apjomu aprēķina kā pēdējo triju pilnu kalendāra gadu vidējo mēnesī obligātā iepirkuma ietvaros iepirkto elektroenerģijas apjomu, bet nepārsniedzot maksimāli atļauto obligātā iepirkuma ietvaros iepērkamās elektroenerģijas apjomu;

- komersanta elektrostacijai piemērotā elektroenerģijas iepirkuma cena (euro/MWh) kalendāra gada t kalendāra mēnesī i;

- faktiskais ieturētais subsidētās elektroenerģijas nodoklis (euro) kalendāra gada t kalendāra mēnesī i;

- komersanta ieņēmumi (euro) no elektrostacijā saražotās un pārdotās elektroenerģijas, kas nav pārdota obligātā iepirkuma ietvaros, kalendāra gada t kalendāra mēnesī i. Ieņēmumu aprēķinam nākotnes periodā elektroenerģijas cenu nosaka kā pēdējo triju pilnu kalendāra gadu vidējo mēnesī ārpus obligātā iepirkuma pārdotās elektroenerģijas cenu, bet elektroenerģijas apjomu aprēķina kā pēdējo triju pilnu kalendāra gadu vidējo mēnesī ārpus obligātā iepirkuma pārdoto elektroenerģijas apjomu;

- siltumenerģijas pārdošanas cena vai Sabiedrisko pakalpojumu regulēšanas komisijas noteiktais siltumenerģijas ražošanas tarifs (euro/MWh) atbilstoši iesniegtajai pamatojošajai dokumentācijai kalendāra gada t kalendāra mēnesī i. Nākotnes periodiem siltumenerģijas cenu nosaka kā pēdējā pilnā kalendāra gada vidējo mēneša siltumenerģijas cenu;

- koģenerācijas stacijā saražotais lietderīgās siltumenerģijas apjoms (MWh) kalendāra gada t kalendāra mēnesī i. Nākotnes periodiem mēnesī saražotās lietderīgās siltumenerģijas apjomu aprēķina kā pēdējo triju pilnu kalendāra gadu vidējo mēnesī saražoto lietderīgās siltumenerģijas apjomu;

6.2. elektrostaciju ieņēmumi (euro) kalendāra gada t kalendāra mēnesī i , aprēķinam izmantojot līmeņatzīmes:

, kur

- siltumenerģijas ražošanas tarifs (euro/MWh) saskaņā ar šā pielikuma 8. tabulu kalendāra gada t kalendāra mēnesī i. Nākotnes periodiem siltumenerģijas ražošanas tarifu nosaka kā pēdējā pilnā kalendāra gada vidējo mēneša siltumenerģijas ražošanas tarifu;

- elektrostacijā uzstādītā neto siltuma jauda (MW) kalendāra gada t kalendāra mēnesī i;

- komersanta elektrostacijas darba stundas (h) kalendāra gada t kalendāra mēnesī i;

- koģenerācijas stacijā pašpatēriņam izmantotā siltumenerģija kalendāra gada t kalendāra mēnesī i. Pašpatēriņam izmantotais siltumenerģijas apjoms stacijām, kas darbojas ar poligongāzi, un biogāzes stacijām, kuras biogāzes ražošanai izmanto fermenterus, ir 30 %, bet pārējām koģenerācijas stacijām ir 0.

7. Kalendāra gada t kalendāra mēnesī i elektrostacijas uzstādītā neto siltuma jauda vēja un hidroelektrostacijām ir 0. Pārējām elektrostacijām to aprēķina, izmantojot šādu formulu:

, kur

- koģenerācijas elektrostacijas uzstādītā siltuma jauda, kas atbilst elektrostacijā uzstādīto koģenerācijas iekārtu izgatavotāja noteikto bruto siltumjaudu summai (MW).

8. Elektrostacijas darba stundas kalendāra gada t kalendāra mēnesī i aprēķina, izmantojot šādu formulu:

, kur

- elektrostacijas uzstādītā elektriskā jauda (MW), kas norādīta līgumā ar publisko tirgotāju.

9. Elektrostacijas izdevumus (euro) kalendāra gada t kalendāra mēnesī i  aprēķina, izmantojot faktiskos datus vai līmeņatzīmes:

9.1. vēja elektrostaciju izdevumi kalendāra gada t kalendāra mēnesī i :

, kur

- elektrostacijā veikto kopējo faktisko investīciju apjoms (euro);

0,03 - koeficients, kas raksturo elektrostacijas ekspluatācijas izmaksu īpatsvaru veiktajās investīcijās, noteikts šā pielikuma 2. tabulā;

- elektroenerģijas ražošanai piešķirtā valsts atbalsta izlietošanas uzraudzības nodeva un valsts nodeva par sabiedrisko pakalpojumu regulēšanu kalendāra gadā t (euro). Nākotnes periodu aprēķiniem nodevas apmēru pieņem tādu, kāds tas ir bijis pēdējā pilnā kalendāra gadā;

- jaudas maksa elektroenerģijas ražotājiem, kas noteikta atbilstoši uzstādītajai elektroenerģijas ražošanas jaudai un saskaņā ar Sabiedrisko pakalpojumu regulēšanas komisijas noteikto tarifu, kalendāra gada t kalendāra mēnesī i (euro). Nākotnes periodu aprēķiniem jaudas maksas apmēru pieņem tādu, kāds tas ir bijis pēdējā pilnā kalendāra gadā;

b - balansēšanas atbildības faktora līmeņatzīme, kas raksturo vēja elektrostacijas nebalansa līmeni un ir noteikta atkarībā no uzstādītās elektriskās jaudas, kura norādīta līgumā ar publisko tirgotāju, kalendāra gada t kalendāra mēnesī i. Balansēšanas atbildības faktora līmeņatzīme ir noteikta šā pielikuma 7. tabulā;

9.2. hidroelektrostaciju izdevumi (euro) kalendāra gada t kalendāra mēnesī i :

, kur

0,04 - koeficients, kas raksturo elektrostacijas ekspluatācijas izmaksu īpatsvaru veiktajās investīcijās, noteikts šā pielikuma 2. tabulā;

- dabas resursu nodoklis par ūdeņu lietošanu elektrostacijās (euro), kas tiek aprēķināts katrai hidroelektrostacijai saskaņā ar Dabas resursu nodokļa likumu, ņemot vērā hidroelektrostacijas faktisko ūdens kritumu, pieņemot lietderības koeficientu 75 % un ņemot vērā saražotās elektroenerģijas apjomu kalendāra gada t kalendāra mēnesī i. Nākotnes periodu aprēķiniem nodokļa apmēru pieņem tādu, kāds tas ir bijis pēdējā pilnā kalendāra gadā;

9.3. biomasas staciju izdevumi (euro) kalendāra gada t kalendāra mēnesī i , aprēķinam izmantojot faktiskos datus:

, kur

- patērētā kurināmā apjoms (MWh), kas nepieciešams komersanta elektrostacijas darbības nodrošināšanai, kalendāra gada t kalendāra mēnesī i. Nākotnes periodiem mēnesī patērētā kurināmā apjomu aprēķina kā pēdējo triju pilnu kalendāra gadu vidējo mēnesī patērētā kurināmā apjomu elektrostacijā;

- kurināmā faktiskā cena (euro/MWh) atbilstoši iesniegtajai pamatojošajai dokumentācijai. Nākotnes periodiem kurināmā cenu nosaka kā pēdējā pilnā kalendāra gada vidējo mēneša kurināmā cenu;

0,11 - koeficients, kas raksturo elektrostacijas ekspluatācijas izmaksu īpatsvaru veiktajās investīcijās, noteikts šā pielikuma 2. tabulā;

9.4. biomasas staciju izdevumi (euro) kalendāra gada t kalendāra mēnesī i , aprēķinam izmantojot līmeņatzīmes:

, kur

- aprēķinātais patērētā kurināmā apjoms (MWh), kas nepieciešams komersanta elektrostacijas darbības nodrošināšanai kalendāra gada t kalendāra mēnesī i. Nākotnes periodiem mēnesī patērētā kurināmā apjomu aprēķina kā pēdējo triju pilnu kalendāra gadu vidējo mēnesī patērētā kurināmā apjomu elektrostacijā;

- biomasas kurināmā cenas līmeņatzīme (euro/MWh), kas noteikta šā pielikuma 6. tabulā, kalendāra gada t kalendāra mēnesī i. Nākotnes periodiem kurināmā cenu nosaka kā pēdējā pilnā kalendāra gada vidējo mēneša kurināmā cenu;

9.5. biogāzes staciju izdevumi (euro) kalendāra gada t kalendāra mēnesī i , aprēķinam izmantojot faktiskos datus:

, kur

- biogāzes koģenerācijas stacijas ekspluatācijas izmaksu līmeņatzīme, kas noteikta šā pielikuma 3. tabulā atkarībā no gada un organiskas izcelsmes atkritumu un ražošanas atlikumproduktu īpatsvara kopējā izejvielu apjomā. Aprēķinos izmanto zemāko šā pielikuma 3. tabulā norādīto ekspluatācijas izmaksu līmeņatzīmi dotajā aprēķina periodā. Ja komersants, iesniedzot pamatojošo dokumentāciju, pierāda lielāku organiskas izcelsmes atkritumu un ražošanas atlikumproduktu īpatsvaru kopējā izejvielu apjomā, aprēķinos izmanto augstāku atbilstošo šā pielikuma 3. tabulā norādīto līmeņatzīmi.

Nākotnes periodam izmanto zemāko šā pielikuma 3. tabulā norādīto ekspluatācijas izmaksu līmeņatzīmi dotajā aprēķinu periodā. Ja komersants, iesniedzot pamatojošo dokumentāciju, pierāda, ka pēdējo triju pilnu kalendāra gadu vidējais organiskas izcelsmes atkritumu un ražošanas atlikumproduktu īpatsvars kopējā izejvielu apjomā pārsniedz noteikto minimālo organiskas izcelsmes atkritumu un ražošanas atlikumproduktu īpatsvaru kopējā izejvielu apjomā, tad nākotnes periodam organiskās izcelsmes atkritumu apjomu nosaka kā pēdējo triju pilnu kalendāra gadu vidējo organiskas izcelsmes atkritumu apjomu kalendāra mēnesī un aprēķinos izmanto augstāku atbilstošo šā pielikuma 3. tabulā norādīto līmeņatzīmi;

9.6. biogāzes staciju izdevumi (euro) kalendāra gada t kalendāra mēnesī i , aprēķinam izmantojot līmeņatzīmes:

, kur

- biogāzes un poligongāzes kurināmā cenas līmeņatzīme (euro/MWh), kas noteikta šā pielikuma 4. un 5. tabulā, kalendāra gada t kalendāra mēnesī i. Nākotnes periodiem kurināmā cenu nosaka kā pēdējā pilnā kalendāra gada vidējo mēneša kurināmā cenu.

10. Aprēķināto patērētā kurināmā apjomu (MWh) kalendāra gada t kalendāra mēnesī i  nosaka, izmantojot šādu formulu:

, kur

pašpatēriņam izlietotā saražotā elektroenerģija (MWh), kas nosakāma kā iepriekšējo triju gadu vidējais rādītājs starpībai starp gadā saražoto un tīklā nodoto elektroenerģiju;

- koģenerācijas iekārtas lietderības koeficients, kas raksturo koģenerācijas iekārtas efektivitāti. Iekārtas lietderības koeficients ir norādīts iekārtas tehniskajā dokumentācijā. Ja tāda nav pieejama, lietderības koeficientu biomasas un biogāzes iekārtām nosaka 80 %.

11. Elektrostacijā veikto kopējo faktisko investīciju apjomu (euro) aprēķina, izmantojot šādu formulu:

, kur

- komersanta elektrostacijā papildus veikto faktisko investīciju apjoms, tai skaitā kapitalizētu remontu izmaksas (euro).

12. Aprēķinā, kas veikts saskaņā ar šo pielikumu, vērtības naudas izteiksmē noapaļo līdz tuvākajam centam, ņemot vērā trešo zīmi aiz komata. Ja trešā zīme aiz komata ir no 0 līdz 4, centa vērtība nemainās. Ja trešā zīme aiz komata ir no 5 līdz 9, centu noapaļo par vienu vienību uz augšu.

II. Līmeņatzīmes elektrostacijas kopējo kapitālieguldījumu iekšējās peļņas normas aprēķinam

1. tabula

Elektrostaciju īpatnējo investīciju Iīp (euro/kWel) līmeņatzīmes

Uzstādītā elektriskā jauda Pel

Biogāzes stacijas

Biomasas un biomasas gazifikācijas stacijas

Vēja elektrostacijas

Hidroelektrostacijas

Nepārsniedz 0,25 MW

4000

4500

2150

3000

Lielāka par 0,25 MW, bet nepārsniedz 0,5 MW

4000

4500

1400

2500

Lielāka par 0,5 MW, bet nepārsniedz 1 MW

3800

4500

1400

2000

Lielāka par 1 MW, bet nepārsniedz 2 MW

3800

4000

1400

1500

Lielāka par 2 MW, bet nepārsniedz 4 MW

3300

4000

1400

1500

Lielāka par 4 MW

3300

3600

1400

1500*

Piezīme. * Ja hidroelektrostacijas jauda nepārsniedz 5 MW.

2. tabula

Elektrostacijas ekspluatācijas izmaksu līmeņatzīmes

Tehnoloģija

Līmeņatzīmes

Vēja elektrostacijas 3 % no elektrostacijā veiktajām investīcijām, gadā
Hidroelektrostacijas 4,0 % no elektrostacijā veiktajām investīcijām, gadā
Biomasas stacijas 11 % no elektrostacijā veiktajām investīcijām, gadā

3. tabula

Biogāzes elektrostaciju ekspluatācijas izmaksu līmeņatzīme

 

Līdz 2022. gadam

2022.-2025. gads

2026.-2029. gads

No 2030. gada

Ekspluatācijas izmaksas, % no elektrostacijā veiktajām investīcijām (gadā)

Organiskas izcelsmes atkritumu un ražošanas atlikumproduktu īpatsvars pret kopējo patērēto izejvielu apjomu biogāzes ražošanā (%)

mazāk par 50 %

vismaz 40 %, bet mazāk par 50 %

-

-

6 %

vismaz 50 %, bet mazāk par 70 %

vismaz 60 %, bet mazāk par 70 %

-

9 %

vismaz 70 %, bet mazāk par 80 %

vismaz 80 %, bet mazāk par 90 %

12 %

vismaz 80 %

vismaz 90 %

13 %

4. tabula

Biogāzes stacijām (izņemot stacijas, kurās izmanto biomasas gazifikāciju vai poligongāzes) piemērojamās kurināmā cenas līmeņatzīmes

Uzstādītā elektriskā jauda Pel

Kurināmā cena bez PVN Ckur (euro/MWh)

2008.

2009.

2010.

2011.

2012.

2013.

2014.

2015.

2016.

Nepārsniedz 0,5 MW

51,08

40,51

30,98

35,47

42,39

43,65

46,31

48,14

51,83

Lielāka par 0,5 MW, bet nepārsniedz 1 MW

48,11

38,15

29,19

33,41

39,93

41,12

43,62

45,35

48,82

Lielāka par 1 MW

46,15

36,60

27,99

32,05

38,30

39,44

41,84

43,49

46,83

 

2017.

2018.

2019.

2020.

2021.

2022.

     
Nepārsniedz 0,5 MW

52,38

50,98

48,00

53,28

52,47

51,65

     
Lielāka par 0,5 MW, bet nepārsniedz 1 MW

49,34

48,02

45,21

49,93

49,16

48,40

     
Lielāka par 1 MW

47,32

46,06

43,37

49,93

49,16

48,40

     

5. tabula

Poligongāzes cenas līmeņatzīmes

Uzstādītā elektriskā jauda Pel

Kurināmā cena bez PVN Ckur (euro/MWh)

visi gadi

Visas jaudas

10

6. tabula

Biomasas un biomasas gazifikācijas stacijām piemērojamās kurināmā cenas līmeņatzīmes

Kurināmā cena bez PVN Ckur (euro/MWh)

1995.

1996.

1997.

1998.

1999.

2000.

2001.

2002.

2003.

2004.

3,73

3,67

3,59

3,77

3,94

4,22

4,61

5,16

5,67

5,99

2005.

2006.

2007.

2008.

2009.

2010.

2011.

2012.

2013.

2014.

6,31

7,37

8,6

11,06

8,6

7,37

8,6

8,6

11,06

9,83

2015.

2016.

2017.

2018.

2019.

2020.

2021.

2022.

   

9,83

8,6

8,6

12,29

13,07

11,02

14,49

12,73

   

7. tabula

Vēja elektrostacijām piemērojamās līmeņatzīmes

Uzstādītā elektriskā jauda Pel

Balansēšanas atbildības faktors b (%)

Nepārsniedz 0,25 MW

0*

Lielāka par 0,25 MW, bet nepārsniedz 1 MW

15

Lielāka par 1 MW, bet nepārsniedz 2 MW

15

Lielāka par 2 MW

10

Piezīme. * 10 %, ja vēja elektrostacijai piemēro Ministru kabineta 2020. gada 2. septembra noteikumu Nr. 560 "Noteikumi par elektroenerģijas ražošanu, izmantojot atjaunīgos energoresursus, kā arī par cenu noteikšanas kārtību un uzraudzību" 23.2. apakšpunktu.

8. tabula

Siltumenerģijas ražošanas tarifs (euro/MWh) no 1995. gada līdz 2022. gadam

Gads

Siltumenerģijas ražošanas tarifs (euro/MWh)*

 

Gads

Siltumenerģijas ražošanas tarifs (euro/MWh)

1995.

11,67

 

2009.

39,16

1996.

12,12

 

2010.

38,44

1997.

12,24

 

2011.

38,44

1998.

12,28

 

2012.

42,06

1999.

12,33

 

2013.

39,16

2000.

12,38

 

2014.

32,63

2001.

12,38

 

2015.

31,91

2002.

12,38

 

2016.

26,11

2003.

12,38

 

2017.

26,11

2004.

12,38

 

2018.

26,83

2005.

16,51

 

2019.

24,99

2006.

21,76

 

2020.

23,28

2007.

26,11

 

2021.

21,68

2008.

36,99

 

2022.

20,20

Piezīme. * Siltumenerģijas ražošanas tarifu veido siltumenerģijas vidējā cena gala patērētājiem, kas reizināta ar koeficientu 0,7252 (ražošanas tarifa īpatsvars gala tarifā)."

08.11.2025