Ministru kabineta noteikumi Nr. 649
Rīgā 2025. gada 4. novembrī (prot. Nr. 46 14. §)
Izdoti saskaņā ar Elektroenerģijas tirgus
likuma
28. panta otro daļu, 28.1 panta otro daļu,
30.4 panta trešo daļu, 31.1 panta devīto
daļu,
31.2 panta trešo un piekto daļu, 31.3 panta
trešo daļu,
31.4 panta ceturto daļu un 31.5 panta trešo
daļu
Izdarīt Ministru kabineta 2020. gada 2. septembra noteikumos Nr. 561 "Noteikumi par elektroenerģijas ražošanu, uzraudzību un cenu noteikšanu, ražojot elektroenerģiju koģenerācijā" (Latvijas Vēstnesis, 2020, 175. nr.; 2022, 57. nr.) šādus grozījumus:
1. Izteikt 1.11. apakšpunktu šādā redakcijā:
"1.11. kārtību, kādā Valsts vides dienests (turpmāk - dienests) pārbauda lietderīgās siltumenerģijas izmantošanu, lai nodrošinātu atbilstību normatīvajos aktos noteiktajiem valsts atbalsta saņemšanas nosacījumiem;".
2. Izteikt 1.15. apakšpunktu šādā redakcijā:
"1.15. kārtību, kādā pārtrauc valsts atbalsta izmaksu un dienests pieņem lēmumu par obligātā iepirkuma tiesību vai garantētās maksas tiesību atcelšanu."
3. Izteikt 3. punktu šādā redakcijā:
"3. Dienests organizē to elektroenerģijas ražotāju darbības uzraudzību un kontroli, kuri izmanto obligātā iepirkuma tiesības vai garantētās maksas tiesības. Dienestam ir tiesības grozīt vai atcelt šo noteikumu 2.2. apakšpunktā minēto lēmumu, kā arī pieņemt lēmumus par valsts atbalsta izmaksas un obligātā iepirkuma apturēšanu un nepamatoti vai nelikumīgi saņemtā valsts atbalsta atgūšanu. Dienests, pieņemot lēmumu obligātā iepirkuma vai garantētās maksas uzraudzības vai kontroles ietvaros, par to nekavējoties informē elektroenerģijas sistēmas operatoru un publisko tirgotāju."
4. Izteikt 13.2. apakšpunktu šādā redakcijā:
"13.2. koģenerācijas stacijas vai atsevišķas šīs elektrostacijas koģenerācijas iekārtas uzstādītās elektriskās jaudas izmantošanas stundu skaits gadā (TMAX) pārsniedz 3000 stundu. Vienā siltumapgādes sistēmas operatora licences zonā esošām vienam komersantam piederošām koģenerācijas stacijām, kas pieslēgtas elektroenerģijas pārvades sistēmai un iekļautas dispečervadības grafikā, uzstādītās elektriskās jaudas izmantošanas stundu skaitu gadā nosaka, summējot kopā. Komersants rakstiski informē dienestu par atbilstību šajā punktā minētajiem nosacījumiem."
5. Izteikt 16. punktu šādā redakcijā:
"16. Komersants, kuram ir obligātā iepirkuma tiesības vai garantētās maksas tiesības un kurš koģenerācijas stacijā elektroenerģijas ražošanai izmanto cieto biomasu, var lūgt dienestam atļauju pilnībā vai daļēji aizstāt šo noteikumu 2.1. apakšpunktā minētajā iesniegumā norādīto cietās biomasas kurināmo ar citu cietās biomasas kurināmo. Šādā gadījumā komersants iesniedz dienestā iesniegumu, kurā norāda informāciju par iecerēto cietās biomasas kurināmā aizstāšanu, pamatojot kurināmā aizstāšanu. Dienests pēc iesnieguma saņemšanas izvērtē iesniegumā norādītā cietās biomasas kurināmā atbilstību šo noteikumu prasībām. Ja komersanta iesniegumā norādītais cietās biomasas kurināmais atbilst minētajām prasībām, dienests pieņem lēmumu, ar kuru groza šo noteikumu 2.2. apakšpunktā minēto lēmumu, nosakot cietās biomasas kurināmā veida maiņu."
6. Izteikt 19. punktu šādā redakcijā:
"19. Komersants ir tiesīgs atteikties no obligātā iepirkuma tiesībām vai garantētās maksas tiesībām, iesniedzot dienestā attiecīgu iesniegumu. "
7. Izteikt 20. punktu šādā redakcijā:
"20. Publiskais tirgotājs pārtrauc elektroenerģijas iepirkšanu obligātā iepirkuma ietvaros vai maksājumus par uzstādīto jaudu no dienas, kad saskaņā ar šo noteikumu 19. punktā minēto dienesta lēmumu komersantam atceltas obligātā iepirkuma tiesības vai garantētās maksas tiesības."
8. Izteikt 21.6. apakšpunktu šādā redakcijā:
"21.6. ka elektroenerģijas, siltumenerģijas un kurināmā uzskaites dati par esošo un iepriekšējo kalendāra gadu tiek uzglabāti koģenerācijas stacijā uz vietas un tiek uzrādīti dienesta pārstāvjiem pārbaudes veikšanas brīdī;".
9. Izteikt 22. punktu šādā redakcijā:
"22. Komersants nodrošina, ka elektroenerģijas, siltumenerģijas un kurināmā padeves pieslēguma shēma ir sagatavota saskaņā ar vienotā tehnoloģiskā cikla principu, iesniegta dienestā un izvietota redzamā vietā telpā, kurā atrodas koģenerācijas iekārta, vai uz konteinera, kurā atrodas koģenerācijas iekārta. Ja elektroenerģijas, siltumenerģijas un kurināmā padeves pieslēguma shēmā tiek veiktas izmaiņas, komersants par to informē dienestu, pirms izmaiņas stājas spēkā, iesniedzot dienestā aktuālo shēmu."
10. Izteikt 24. punktu šādā redakcijā:
"24. Komersants, kurš ieguvis obligātā iepirkuma tiesības, iesniedz sistēmas operatoram, publiskajam tirgotājam un dienestam komersanta apliecinātu šo noteikumu 23. punktā minēto principiālo elektriskā pieslēguma shēmu. Publiskais tirgotājs pēc šo noteikumu 2.3. apakšpunktā minētā līguma stāšanās spēkā uzsāk elektrostacijā saražotās elektroenerģijas iepirkumu, ja komersants ir iesniedzis sistēmas operatoram, publiskajam tirgotājam un dienestam šo noteikumu 23. punktā minēto principiālo elektriskā pieslēguma shēmu. Ja elektrostacijā veiktas izmaiņas, komersants nodrošina, ka sistēmas operatoram, publiskajam tirgotājam un dienestam tiek iesniegta komersanta apliecināta, faktiskajai situācijai atbilstoša šo noteikumu 23. punktā minētā principiālā elektriskā pieslēguma shēma."
11. Izteikt 25.1 punktu šādā redakcijā:
"25.1 Ja komersanta sniegtie dati atbilstoši dienesta aprēķiniem liecina, ka elektroenerģijas pašpatēriņa apjoms ir mazāks, nekā attiecīgajai tehnoloģijai iespējams saskaņā ar vienotā tehnoloģiskā cikla principu vai iesniegtajām aktuālajām elektroenerģijas, siltumenerģijas un kurināmā padeves pieslēguma shēmām, dienests triju darbdienu laikā pēc šā fakta konstatēšanas pieņem lēmumu apturēt valsts atbalsta izmaksu par iepirkto elektroenerģiju par periodu no lēmuma spēkā stāšanās dienas līdz šo noteikumu 25.2 punktā minētā lēmuma pieņemšanas dienai."
12. Izteikt 25.2 punktu šādā redakcijā:
"25.2 Lai atjaunotu saskaņā ar šo noteikumu 25.1 punktu apturēto valsts atbalsta izmaksu, komersants mēneša laikā no dienas, kad stājies spēkā lēmums apturēt valsts atbalsta izmaksu par iepirkto elektroenerģiju, pierāda, ka koģenerācijas stacijā saražotās elektroenerģijas izlietošana tiek nodrošināta atbilstoši šo noteikumu 25. punktā minētajam nosacījumam. Dienests pārliecinās, ka komersanta sniegtā informācija pierāda atbilstību šo noteikumu 25. punktā minētajam nosacījumam, un mēneša laikā pieņem lēmumu par apturētās valsts atbalsta izmaksas atsākšanu. Publiskais tirgotājs apturēto valsts atbalsta izmaksu veic 10 kalendāra dienu laikā pēc minētā lēmuma spēkā stāšanās dienas."
13. Izteikt 25.3 punktu šādā redakcijā:
"25.3 Ja komersants šo noteikumu 25.2 punktā minētajā termiņā neiesniedz minētos pierādījumus vai ja pēc pierādījumu saņemšanas dienests konstatē, ka koģenerācijas stacijā saražotās elektroenerģijas izlietošana netiek nodrošināta atbilstoši šo noteikumu 25. punktā minētajam nosacījumam, dienests pieņem lēmumu par obligātā iepirkuma tiesību atcelšanu atbilstoši šo noteikumu 48.7. apakšpunktam."
14. Izteikt 26.4. apakšpunktu šādā redakcijā:
"26.4. ja koģenerācijas stacijai, kurā saražoto elektroenerģiju pārdod obligātā iepirkuma ietvaros, ir vairāki pieslēgumi sistēmas operatora tīklam, katrā tirdzniecības intervālā aprēķina elektroenerģijas daudzumu, ko veido starpība starp sistēmas operatora tīklā nodoto un no sistēmas operatora tīkla saņemto elektroenerģiju visu sistēmas pieslēgumu ietvaros saskaņā ar šo noteikumu 23. punktā minēto principiālo elektriskā pieslēguma shēmu."
15. Izteikt 29. punktu šādā redakcijā:
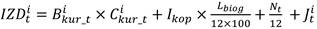
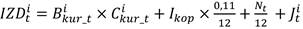
"29. Ja komersanta koģenerācijas stacijā uzstādītā elektriskā jauda, kas norādīta šo noteikumu 2.3. apakšpunktā minētajā līgumā, iepriekšējā kalendāra gada beigās ir mazāka par plānoto koģenerācijas stacijas elektrisko jaudu, kas norādīta šo noteikumu 2.1. apakšpunktā minētajā iesniegumā, dienests līdz attiecīgā gada 1. aprīlim pieņem lēmumu, ar kuru groza kalendāra gadā obligātā iepirkuma ietvaros iepērkamās elektroenerģijas apjomu. Obligātā iepirkuma ietvaros iepērkamās elektroenerģijas apjomu (norāda ar precizitāti trīs zīmes aiz komata) aprēķina, izmantojot šādu formulu:
| AOI = | Ap | × Pf, kur |
| Pp |
AOI - kalendāra gadā obligātā iepirkuma ietvaros iepērkamās elektroenerģijas apjoms (MWh);
Ap - kalendāra gadā obligātā iepirkuma ietvaros iepērkamās elektroenerģijas apjoms (MWh), kas noteikts šo noteikumu 2.2. apakšpunktā minētajā lēmumā;
Pp - plānotā koģenerācijas stacijas elektriskā jauda (MW), kas norādīta šo noteikumu 2.1. apakšpunktā minētajā iesniegumā;
Pf - koģenerācijas stacijā uzstādītā elektriskā jauda (MW), kas norādīta šo noteikumu 2.3. apakšpunktā minētajā līgumā, pārskata gada beigās."
16. Izteikt 30. punktu šādā redakcijā:
"30. Šo noteikumu 29. punktā minēto lēmumu dienests pieņem, ja saskaņā ar šo noteikumu 29. punktā minēto formulu aprēķinātais lielums ir mazāks par komersantam noteikto elektroenerģijas apjomu (MWh), kas kalendāra gadā iepērkams no koģenerācijas stacijas obligātā iepirkuma ietvaros."
17. Svītrot 31. punktu.
18. Izteikt 31.2 punktu šādā redakcijā:
"31.2 Komersants, kuram ir obligātā iepirkuma tiesības vai garantētās maksas tiesības un kura koģenerācijas stacijā uzstādītā elektroenerģijas ražošanas iekārta ir reģistrēta pārvades sistēmas operatora uzturētajā izcelsmes apliecinājumu reģistrā un elektroenerģijas ražošanai koģenerācijā izmanto energoresursus, kas nav atjaunīgie energoresursi, iesniedz pārvades sistēmas operatoram un publiskajam tirgotājam neatkarīga akreditēta auditora apstiprinātu deklarāciju par atbilstību izcelsmes apliecinājumu izsniegšanas nosacījumiem saskaņā ar prasībām, kuras noteiktas līgumā, kas noslēgts starp pārvades sistēmas operatoru un Eiropas Enerģijas sertifikācijas izcelsmes apliecinājumu sistēmu pārvaldītāju, ne vēlāk kā piecu mēnešu laikā pēc deklarācijas perioda, kas ir viens kalendāra mēnesis, sākuma."
19. Izteikt 31.3 punktu šādā redakcijā:
"31.3 Ja koģenerācijas stacijas darbības rādītāji kādā no šo noteikumu 31.2 punktā minētajiem deklarācijas periodiem neatbilst izcelsmes apliecinājumu izsniegšanas nosacījumiem saskaņā ar prasībām, kuras noteiktas līgumā, kas noslēgts starp pārvades sistēmas operatoru un Eiropas Enerģijas sertifikācijas izcelsmes apliecinājumu sistēmu pārvaldītāju, komersants var neiesniegt šo noteikumu 31.2 punktā minēto deklarāciju, vienlaikus ne vēlāk kā piecu mēnešu laikā pēc deklarācijas perioda, kas ir viens kalendāra mēnesis, sākuma iesniedzot pārvades sistēmas operatoram, publiskajam tirgotājam un dienestam attiecīgu komersanta pilnvarotās personas apliecinājumu, kurā norādīts periods, par kuru deklarācija netiek sniegta, un tajā saskaņā ar normatīvajos aktos noteikto kārtību aprēķinātais attiecīgās koģenerācijas stacijas primārās enerģijas ietaupījums."
20. Izteikt 31.6 punktu šādā redakcijā:
"31.6 Dienests apstiprina tā rīcībā esošo informāciju par koģenerācijas stacijās uzstādītajām elektroenerģijas ražošanas iekārtām, kas nepieciešama saražotās elektroenerģijas izcelsmes apliecinājumu izsniegšanai, un nosūta to pārvades sistēmas operatoram."
21. Izteikt 32. punktu šādā redakcijā:
"32. Komersants, kuram piešķirtas obligātā iepirkuma tiesības vai garantētās maksas tiesības, katru gadu līdz 1. martam iesniedz dienestā pārskatu par tā īpašumā vai lietojumā esošās koģenerācijas stacijas darbību atbilstoši šo noteikumu 4. pielikumam. Pārskatu iesniedz elektroniskajā sistēmā, kas paredzēta elektrostaciju gada pārskatu iesniegšanai. Sistēmas operators pēc dienesta pieprasījuma iesniedz datus par elektroenerģijas apjomu, kuru komersants nodevis tīklā un saņēmis no tīkla, ieskaitot datus par minētās elektroenerģijas apjomu tajos elektroenerģijas pieslēguma punktos, kas ir tieši vai netieši (pastarpināti) saistīti ar elektrostaciju un tās iekārtām un ierīcēm atbilstoši vienotā tehnoloģiskā cikla principam. Publiskais tirgotājs pēc dienesta pieprasījuma iesniedz datus par elektroenerģijas apjomu, kuru komersants pārdevis obligātajā iepirkumā iepriekšējā gadā. Pārskatā ietver:
32.1. datus par koģenerācijas staciju darbību - saražoto elektroenerģiju, koģenerācijas stacijā patērēto elektroenerģiju, izmantoto koģenerācijas stacijas tehnoloģiju, biogāzes ražošanai izmantotās izejvielas, to apjomu un dokumentus, kas pamato izejvielu izcelsmi un apjomu, kopējo uzstādīto elektrisko un siltuma jaudu, dokumentus, kas pamato siltumenerģijas lietderīgu izlietojumu, aprakstu un aprēķinu par izmantotā kurināmā siltumspējas noteikšanu, aprakstu par izmantotā kurināmā apjoma noteikšanu un paskaidrojuma rakstu par pārskata gadā veiktajām izmaiņām elektrostacijā, ja šādas izmaiņas ietekmē gada pārskatā norādāmos datus, tai skaitā norādot koģenerācijas stacijas elementus, kurus skar attiecīgās izmaiņas;
32.2. akreditētas institūcijas (turpmāk - auditors) ziņojumu par saražoto siltumenerģiju, lietderīgo siltumenerģiju un patērēto kurināmo, tai skaitā izejvielu īpatsvaru atbilstoši šo noteikumu 73. un 75. punktam, ar norādi par koģenerācijas stacijas atbilstību minētajiem kritērijiem, minētā auditora sagatavotu detalizētu ziņojumu par biomasas vai biogāzes koģenerācijas stacijas gada pārskatā sniegtās informācijas atbilstību un pamatotību, kā arī par veiktajām darbībām un pārbaudītajiem dokumentiem, tostarp pievieno sarakstu, kurā norādīti šo noteikumu 21. punktā minēto mērīšanas līdzekļu numuri un verificēšanas vai kalibrēšanas termiņi;
32.3. dokumentus, kas pamato siltumenerģijas lietderīgu izlietojumu;
32.4. sabiedrisko pakalpojumu regulēšanas komisijas lēmuma kopiju par siltumenerģijas tarifu (ja siltumenerģijas tarifu apstiprinājis regulators);
32.5. informāciju par elektrostacijas pamatlīdzekļu nolietojumu."
22. Izteikt 34. punktu šādā redakcijā:
"34. Komersantam, kurš līdz 1. martam nav iesniedzis šo noteikumu 32. punktā minēto gada pārskatu, dienests mēneša laikā nosūta brīdinājumu par iespējamu obligātā iepirkuma tiesību vai garantētās maksas tiesību zaudēšanu. Ja komersants divu mēnešu laikā pēc šajā punktā minētā brīdinājuma saņemšanas neiesniedz gada pārskatu, dienests pieņem lēmumu par komersantam piešķirto obligātā iepirkuma tiesību vai garantētās maksas tiesību atcelšanu un lēmumu par pienākumu komersantam mēneša laikā atmaksāt publiskajam tirgotājam saņemto nepamatoto vai nelikumīgo valsts atbalstu."
23. Izteikt 35. punktu šādā redakcijā:
"35. Lai pārliecinātos par šo noteikumu 32. punktā minētajā pārskatā sniegtās informācijas atbilstību šo noteikumu prasībām, dienests ir tiesīgs pieprasīt, lai komersants iesniedz papildu informāciju un skaidrojumus. Komersantam ir pienākums 10 darbdienu laikā pēc dienesta pieprasījuma saņemšanas iesniegt pieprasīto informāciju. Ja komersants 10 darbdienu laikā nesniedz pieprasīto informāciju, dienests pieņem lēmumu par komersantam piešķirto obligātā iepirkuma tiesību vai garantētās maksas tiesību atcelšanu."
24. Izteikt 36. punktu šādā redakcijā:
"36. Lai pārliecinātos, vai komersants, kuram ir obligātā iepirkuma tiesības vai garantētās maksas tiesības, norādījis pareizus datus, dienestam ir tiesības pieprasīt informāciju personai, kas atbilstoši komersanta norādītajam iepirkusi siltumenerģiju, un minētajai personai ir pienākums šādu informāciju sniegt."
25. Izteikt 37. punktu šādā redakcijā:
"37. Dienests uztur datubāzi, kurā uzskaitīti visi šo noteikumu 2.2. apakšpunktā minētie lēmumi. Dienests savā tīmekļvietnē publicē:
37.1. visu spēkā esošo lēmumu sarakstu, atbilstoši kuriem komersantam piešķirtas obligātā iepirkuma tiesības vai garantētās maksas tiesības, norādot lēmumu izsniegšanas datumu, komersanta nosaukumu, elektrostacijas veidu, uzstādīto jaudu un elektroenerģijas apjomu gadā, ko komersants tiesīgs pārdot obligātā iepirkuma ietvaros;
37.2. līdz katra gada 1. martam - kopējo iepriekšējā gadā izmaksātā atbalsta summu pa mēnešiem, kas komersantam izmaksāta iepriekšējā gadā elektroenerģijas obligātā iepirkuma ietvaros, atbalsta apjomu pa mēnešiem virs elektroenerģijas tirgus cenas, komersanta nosaukumu, elektrostacijas veidu, uzstādīto jaudu un obligātā iepirkuma ietvaros iepirkto elektroenerģijas apjomu pa mēnešiem;
37.3. līdz katra gada 1. septembrim - summu pa mēnešiem, kas komersantam elektroenerģijas obligātā iepirkuma ietvaros izmaksāta līdz kārtējā gada 30. jūnijam, atbalsta apjomu pa mēnešiem virs elektroenerģijas tirgus cenas, komersanta nosaukumu, elektrostacijas veidu, uzstādīto jaudu, obligātā iepirkuma ietvaros iepirkto elektroenerģijas apjomu pa mēnešiem un kopējo izmaksātā atbalsta summu."
26. Izteikt 38. punktu šādā redakcijā:
"38. Publiskais tirgotājs iesniedz dienestam šo noteikumu 37.2. apakšpunktā minēto informāciju līdz katra gada 15. februārim, bet šo noteikumu 37.3. apakšpunktā minēto informāciju līdz katra gada 15. augustam."
27. Izteikt 39. punktu šādā redakcijā:
"39. Dienests triju mēnešu laikā pēc šo noteikumu 32. punktā minētā pārskata saņemšanas izvērtē koģenerācijas stacijas atbilstību šo noteikumu 8. un 13. punktā minētajiem efektivitātes kritērijiem un saražotās elektroenerģijas izlietojumu koģenerācijas stacijas darbības nodrošināšanai saskaņā ar šo noteikumu prasībām. Ja koģenerācijas stacijas tīklā nodotās elektroenerģijas apjoms ir vienāds ar saražotās elektroenerģijas apjomu, dienests pieņem lēmumu par obligātā iepirkuma tiesību atcelšanu."
28. Izteikt 41. punktu šādā redakcijā:
"41. Dienests reizi ceturksnī pārliecinās, vai komersantam Valsts ieņēmumu dienesta publiskojamo datu bāzē nav Valsts ieņēmumu dienesta administrēto nodokļu un nodevu parādu, kas pārsniedz 150 euro. Ja dienests konstatē, ka komersantam ir nodokļu vai nodevu parādi, kuru kopsumma pārsniedz 150 euro, dienests nosūta komersantam brīdinājumu par iespējamu obligātā iepirkuma tiesību zaudēšanu. Dienests, veicot minēto pārbaudi, pārliecinās maksātnespējas reģistrā, vai komersantam, kuram ir nodokļu vai nodevu parāds, nav ierosināts tiesiskās aizsardzības process. Šajā punktā minēto brīdinājumu komersantam neizsaka, ja komersanta nodokļu parādu kopsumma pārsniedz 150 euro, bet par tiem ir ierosināts tiesiskās aizsardzības process, laikposmā no tiesiskās aizsardzības procesa ierosināšanas līdz izbeigšanas brīdim."
29. Izteikt 43. punktu šādā redakcijā:
"43. Ja publiskā tirgotāja rīcībā ir informācija par iespējamu koģenerācijas stacijas neatbilstību normatīvajiem aktiem, tas nekavējoties par to informē dienestu. Lai pārliecinātos par koģenerācijas stacijas atbilstību, dienests ir tiesīgs pieprasīt, lai komersants iesniedz papildu informāciju un skaidrojumus. Ja komersants dienesta noteiktajā termiņā, kas nav mazāks par 10 darbdienām, nesniedz pieprasīto informāciju, dienests var lemt par komersantam piešķirto obligātā iepirkuma tiesību vai garantētās maksas tiesību atcelšanu."
30. Izteikt 44. punktu šādā redakcijā:
"44. Dienests, administrējot Elektroenerģijas tirgus likuma 31.1 pantā minēto uzraudzības nodevu, 10 darbdienu laikā no nodevas samaksas termiņa beigām pārbauda, vai komersants to ir samaksājis. Ja komersants uzraudzības nodevu noteiktajā termiņā nav samaksājis, dienests piecu darbdienu laikā no fakta konstatēšanas pieņem lēmumu apturēt valsts atbalsta izmaksu par iepirkto elektroenerģiju vai garantēto maksu par koģenerācijas stacijā uzstādīto elektrisko jaudu par periodu pēc Elektroenerģijas tirgus likuma 31.1 pantā noteiktā uzraudzības nodevas samaksas termiņa beigām. Publiskais tirgotājs nākamajā darbdienā pēc lēmuma spēkā stāšanās līdz jaunam dienesta lēmumam, kas pieņemts saskaņā ar šo noteikumu 45. punktu, aptur valsts atbalsta izmaksu komersantam par iepirkto elektroenerģiju vai garantētās maksas par koģenerācijas stacijā uzstādīto elektrisko jaudu izmaksu par periodu pēc Elektroenerģijas tirgus likuma 31.1 pantā noteiktā uzraudzības nodevas samaksas termiņa beigām."
31. Izteikt 45. punktu šādā redakcijā:
"45. Ja komersants vēlas atjaunot valsts atbalsta izmaksu, kas apturēta saskaņā ar šo noteikumu 44. punktu, tas iesniedz dienestā apliecinājumu par uzraudzības nodevas samaksu. Dienests triju darbdienu laikā pārliecinās par uzraudzības nodevas samaksas faktu. Ja dienests konstatē, ka atbilstoši sniegtajam apliecinājumam komersants uzraudzības nodevu ir samaksājis, dienests piecu darbdienu laikā no šā fakta konstatēšanas pieņem lēmumu par saskaņā ar šo noteikumu 44. punktu apturētā valsts atbalsta izmaksas atsākšanu ar nākamā kalendāra mēneša pirmo datumu pēc lēmuma spēkā stāšanās dienas."
32. Izteikt 46. punktu šādā redakcijā:
"46. Dienests pārbauda elektrostacijas atbilstību normatīvo aktu prasībām un iesniegtās informācijas ticamību. Komersantam ir pienākums nodrošināt dienesta pārstāvjiem piekļuvi elektrostacijai, kā arī kurināmā sagatavošanas iekārtām un mēriekārtām, ja tās atrodas ārpus elektrostacijas. Komersantam ir pienākums dienesta pārstāvjiem sniegt pārbaudes ietvaros pieprasīto komersanta uzraudzības īstenošanai nepieciešamo informāciju. Informāciju, kas dienesta pārstāvjiem nepieciešama šo noteikumu 46.7. apakšpunktā minētā pārbaudes akta sagatavošanai, komersants var iesniegt dienestā 10 darbdienu laikā pēc dienesta pārstāvju veiktās pārbaudes. Dienesta pārstāvjiem un komersantam pārbaudes ietvaros ir šādas tiesības un pienākumi:
46.1. komersants šo noteikumu 32. punktā minētajā pārskatā norāda oficiālo elektronisko adresi saziņai ar dienestu, kontaktpersonu (arī tās elektroniskā pasta adresi un tālruņa numuru), ar kuru dienests var sazināties saistībā ar dienesta plānotajām pārbaudēm, kā arī kontaktpersonu (arī tās tālruņa numuru), kura var nodrošināt dienesta pārstāvjiem piekļuvi koģenerācijas stacijai. Komersants piecu darbdienu laikā informē dienestu par izmaiņām minētajā kontaktinformācijā;
46.2. dienests ir tiesīgs elektrostacijā veikt plānotu vai neplānotu pārbaudi;
46.3. dienests brīdina komersantu par plānotās pārbaudes veikšanas datumu vismaz trīs darbdienas iepriekš. Informāciju par plānoto pārbaudi dienests nosūta komersantam uz šo noteikumu 46.1. apakšpunktā minētajām elektroniskā pasta adresēm. Ja dienesta noteiktajā datumā komersants nevar nodrošināt dienesta pārstāvjiem iespēju veikt koģenerācijas stacijas pārbaudi, dienests atkārtoti nosaka pārbaudes veikšanas datumu ne vēlāk kā trīs darbdienas pēc sākotnēji noteiktā datuma;
46.4. ja dienesta pārstāvji ieradušies elektrostacijā bez iepriekšēja brīdinājuma un komersants nevar nodrošināt tiem iespēju veikt koģenerācijas stacijas pārbaudi, dienesta pārstāvji ne vēlāk kā trīs darbdienas pēc pirmās ierašanās koģenerācijas stacijā atkārtoti ierodas elektrostacijā, lai veiktu pārbaudi;
46.5. ja komersants nav nodrošinājis dienesta pārstāvjiem iespēju veikt koģenerācijas stacijas pārbaudi, dienests nekavējoties pieņem lēmumu apturēt valsts atbalsta izmaksu par iepirkto elektroenerģiju vai garantētās maksas par koģenerācijas stacijā uzstādīto elektrisko jaudu izmaksu par periodu no lēmuma spēkā stāšanās dienas līdz šo noteikumu 46.9.1. vai 46.10. apakšpunktā minētā lēmuma pieņemšanas dienai;
46.6. ja komersants saskaņā ar šo noteikumu 46.3. un 46.4. apakšpunktu atkārtoti nenodrošina dienesta pārstāvjiem iespēju veikt koģenerācijas stacijas pārbaudi, dienests mēneša laikā pēc atkārtoti noteiktā pārbaudes veikšanas datuma pieņem lēmumu, ar kuru atceļ komersantam piešķirtās obligātā iepirkuma tiesības;
46.7. dienesta pārstāvji pārbaudes veikšanas laikā koģenerācijas stacijā, par to brīdinot komersantu, ir tiesīgi veikt foto un video fiksāciju, ievērojot normatīvos aktus par personu datu aizsardzību;
46.8. dienests mēneša laikā pēc dienesta pārstāvju veiktās pārbaudes sagatavo pārbaudes aktu un nosūta to komersantam. Pārbaudes aktā norāda veiktajā pārbaudē konstatēto.
46.9. pēc šo noteikumu 46.3. vai 46.4. apakšpunktā minētās atkārtotās pārbaudes veikšanas atkarībā no šo noteikumu 46.8. apakšpunktā minētā pārbaudes aktā konstatētā dienests veic vienu no šādām darbībām:
46.9.1. ja dienests guvis pārliecību, ka koģenerācijas stacijas darbībā tiek nodrošinātas šajos noteikumos un Elektroenerģijas tirgus likumā noteiktās prasības, tas pieņem lēmumu par saskaņā ar šo noteikumu 46.5. apakšpunktu apturētās valsts atbalsta izmaksas atsākšanu. Publiskais tirgotājs apturēto valsts atbalsta izmaksu veic 10 kalendāra dienu laikā pēc minētā lēmuma spēkā stāšanās dienas;
46.9.2. ja dienests koģenerācijas stacijas darbībā konstatējis šo noteikumu vai Elektroenerģijas tirgus likuma pārkāpumus, tas izsaka brīdinājumu vai pieņem lēmumu atbilstoši šajos noteikumos noteiktajam;
46.10. ja dienests pēc šo noteikumu 46.3. vai 46.4. apakšpunktā minētās atkārtotās pārbaudes veikšanas izteicis brīdinājumu un pārkāpums, par kuru izteikts brīdinājums, ir novērsts, dienests pieņem lēmumu par saskaņā ar šo noteikumu 46.5. apakšpunktu apturētās valsts atbalsta izmaksas atsākšanu. Publiskais tirgotājs apturēto valsts atbalsta izmaksu veic 10 kalendāra dienu laikā pēc minētā lēmuma spēkā stāšanās dienas."
33. Izteikt 47. punktu šādā redakcijā:
"47. Dienests nosūta komersantam brīdinājumu par iespējamu obligātā iepirkuma tiesību vai garantētās maksas tiesību zaudēšanu, ja dienests konstatē, ka koģenerācijas stacija neatbilst vai šo noteikumu 32. punktā minētā gada pārskata periodā nav atbildusi vienam no šādiem kritērijiem:
47.1. koģenerācijas stacijā uzstādītā elektriskā jauda, kas pieslēgta sistēmas operatora tīklam, neatbilst šo noteikumu 2.3. apakšpunktā minētajā līgumā norādītajai jaudai;
47.2. komersants nav iesniedzis dienestā šo noteikumu 21.1. un 21.2. apakšpunktā minēto mērīšanas līdzekļu (izņemot sistēmas operatora komercuzskaites mēraparātus) verificēšanas sertifikātus vai dienests konstatē, ka koģenerācijas stacijā uzstādītie mērīšanas līdzekļi nav atbilstoši šo noteikumu 21.1. vai 21.2. apakšpunktā minētajām prasībām;
47.3. koģenerācijas stacija neatbilst normatīvajiem aktiem, kas nosaka prasības koģenerācijas staciju darbībai enerģētikas jomā, vai konstatēta tāda neatbilstība šo noteikumu prasībām, par kuru nav noteikta brīdinājuma izteikšana vai lēmuma pieņemšana saskaņā ar kādu citu šo noteikumu punktu, ja šī neatbilstība var ietekmēt izmaksājamā valsts atbalsta apmēru.
47.4. koģenerācijas stacijā neatrodas uzskaites dati par esošo un iepriekšējo kalendāra gadu vai tie nav tikuši uzrādīti dienesta pārstāvjiem pārbaudes veikšanas brīdī;
47.5. komersanta iesniegtā šo noteikumu 74. punktā minētā informācija vai informācija par koģenerācijas stacijā patērēto kurināmā daudzumu un lietderīgās siltumenerģijas daudzumu, ko komersants iesniedz publiskajam tirgotājam, vai šo noteikumu 32. punktā minētajā gada pārskatā minētā informācija neatbilst faktiskajai situācijai un šāda minētās informācijas neatbilstība ietekmējusi izmaksājamā valsts atbalsta apmēru, tādējādi publiskais tirgotājs iepircis elektroenerģiju obligātā iepirkuma ietvaros par lielāku cenu vai lielākā apmērā, nekā pienāktos."
34. Izteikt 48. punktu šādā redakcijā:
"48. Dienests pieņem lēmumu, ar kuru atceļ komersantam piešķirtās obligātā iepirkuma tiesības vai garantētās maksas tiesības:
48.1. ja konstatē, ka koģenerācijas stacijā izmantotās tehnoloģijas veids vai kurināmais neatbilst informācijai, kas norādīta šo noteikumu 2.1. apakšpunktā minētajā iesniegumā, vai elektrostacijā izmantotais kurināmais neatbilst šo noteikumu 2.2. apakšpunktā minētajā lēmumā noteiktajam. Dienests lēmumu pieņem mēneša laikā pēc šo noteikumu 46.8. apakšpunktā minētā pārbaudes akta sagatavošanas;
48.2. ja komersantam pasludina maksātnespējas procesu. Dienests lēmumu pieņem piecu darbdienu laikā no brīža, kad konstatēts fakts par komersanta maksātnespējas procesa pasludināšanu;
48.3. ja šo noteikumu 2.2. apakšpunktā minētajā lēmumā noteiktajā termiņā nav uzsākta elektroenerģijas ražošana;
48.4. ja nav nodrošināta siltumenerģijas lietderīga izmantošana;
48.5. ja netiek veikta kurināmā vai kurināmā izejvielu uzskaite atbilstoši šo noteikumu 21. punktam vai koģenerācijas stacijā nav uzstādīti mērīšanas līdzekļi vai mērīšanas līdzekļu sistēmas;
48.6. ja koģenerācijas stacijā izmantotā kurināmā izejviela neatbilst šo noteikumu 73. punktam;
48.7. ja koģenerācijas elektrostacijā netiek nodrošināta saražotās elektroenerģijas izlietošana koģenerācijas elektrostacijas darbības nodrošināšanai.
48.8. koģenerācijas stacija atbilstoši šo noteikumu 39. punktam veiktajam izvērtējumam neatbilst šo noteikumu 8. vai 13. punktā minētajiem kritērijiem;
48.9. ja konstatē, ka koģenerācijas stacijas darbības rādītāji, par kuriem iesniegts šo noteikumu 31.3 punktā minētais apliecinājums, attiecīgajā periodā ir bijuši atbilstoši izcelsmes apliecinājumu izsniegšanas nosacījumiem saskaņā ar prasībām, kuras noteiktas līgumā, kas noslēgts starp pārvades sistēmas operatoru un Eiropas Enerģijas sertifikācijas izcelsmes apliecinājumu sistēmu pārvaldītāju;
48.10. ja konstatē, ka komersants ir zaudējis elektrostacijas īpašuma vai lietojuma tiesības."
35. Izteikt 48.1 punktu šādā redakcijā:
"48.1 Ja dienests koģenerācijas stacijā konstatē izmantotā kurināmā veida izmaiņas un izmantotais kurināmais atbilst šajos noteikumos noteiktajiem obligātā iepirkuma tiesību vai garantētās maksas tiesību iegūšanas un izmantošanas nosacījumiem, bet veiktās izmaiņas nav saskaņotas ar dienestu, dienests nosūta komersantam brīdinājumu par iespējamu obligātā iepirkuma tiesību vai garantētās maksas tiesību zaudēšanu. Komersants divu mēnešu laikā pēc šajā punktā minētā brīdinājuma saņemšanas izmaiņas kurināmā izmantošanā saskaņo ar dienestu. Ja komersants minētās izmaiņas nesaskaņo, dienests mēneša laikā pieņem lēmumu par obligātā iepirkuma tiesību vai garantētās maksas atcelšanu."
36. Izteikt 49. punktu šādā redakcijā:
"49. Lai pārliecinātos par lietderīgu siltumenerģijas izmantošanu, atbilstoši vienotā tehnoloģiskā cikla principam, dienests:
49.1. izvērtē, vai dokumenti, ko komersants pievienojis šo noteikumu 32. punktā norādītajam gada pārskatam, pierāda, ka lietderīgā siltumenerģija tiek pārdota siltumenerģijas lietotājam vai izmantota apkures, ventilācijas, karstā ūdens apgādes vai tehnoloģiskā siltumenerģijas patēriņa nodrošināšanai savā uzņēmumā, kas nav koģenerācijas stacijas pašpatēriņš;
49.2. pārbauda šo noteikumu 49.1. apakšpunktā minēto dokumentu atbilstību īstenībai, kā arī to, vai elektrostacijā saražotā siltumenerģija ir izmantota ekonomiski pamatota siltumapgādes vai dzesēšanas pieprasījuma apmierināšanai."
37. Izteikt 49.1 punktu šādā redakcijā:
"49.1 Ja dienests konstatē, ka vairākas elektrostacijas, attiecībā uz kurām komersantam vai komersantiem ir spēkā esošas obligātā iepirkuma tiesības vai garantētās maksas tiesības, atbilstoši vienotā tehnoloģiskā cikla principam ir uzskatāmas par vienu elektrostaciju, bet tās darbojas kā vairākas atsevišķas elektrostacijas, dienests 10 darbdienu laikā pēc šā fakta konstatēšanas pieņem lēmumu apturēt valsts atbalstu par iepirkto elektroenerģiju vai garantēto maksu par elektrostacijā uzstādīto elektrisko jaudu par periodu no lēmuma spēkā stāšanās dienas līdz šo noteikumu 49.21. apakšpunktā vai 49.3 punktā minētā lēmuma pieņemšanas dienai."
38. Izteikt 49.2 punktu šādā redakcijā:
"49.2 Ja komersants iesniedz dienestā dokumentus, kas pierāda, ka elektrostacijā tiek ievērots vienotā tehnoloģiskā cikla princips, kā arī šo noteikumu 23. punktā minēto principiālo elektrisko pieslēgumu shēmu, dienests pārliecinās par elektrostacijas atbilstību vienotā tehnoloģiskā cikla principam un mēneša laikā:
49.21. konstatējot, ka neatbilstība vienotā tehnoloģiskā cikla principam ir novērsta, pieņem lēmumu par saskaņā ar šo noteikumu 49.1 punktu apturētā valsts atbalsta atsākšanu. Publiskais tirgotājs apturēto valsts atbalstu atsāk no minētā lēmuma spēkā stāšanās dienas vai, ja neatbilstības novēršanai elektrostacijas tikušas apvienotas atbilstoši šo noteikumu 49.5 punktam, no šo noteikumu 49.5 punktā minēto lēmuma grozījumu spēkā stāšanās dienas;
49.22. konstatējot, ka neatbilstība vienotā tehnoloģiskā cikla principam nav novērsta, par to informē komersantu un saskaņā ar šo noteikumu 49.1 punktu apturēto valsts atbalstu neatsāk."
39. Izteikt 49.3 punktu šādā redakcijā:
"49.3 Ja komersants sešu mēnešu laikā no šo noteikumu 49.1 punktā minētā lēmuma spēkā stāšanās dienas dienestam neiesniedz dokumentus, kas pierāda, ka ir novērsta neatbilstība, kuras dēļ pieņemts šo noteikumu 49.1 punktā minētais lēmums, dienests pieņem lēmumu par obligātā iepirkuma tiesību vai garantētās maksas tiesību atcelšanu."
40. Izteikt 49.5 punktu šādā redakcijā:
"49.5 Komersants, kurš ir apvienojošās elektrostacijas īpašnieks, iesniedz dienestam dokumentus, kas pierāda apvienošanu, un šo noteikumu 23. punktā minēto elektrostacijas principiālo elektriskā pieslēguma shēmu. Dienests pēc elektrostaciju apvienošanas veic grozījumus šo noteikumu 2.2. apakšpunktā minētajā lēmumā, kas pieņemts attiecībā uz apvienojošo elektrostaciju, nosakot obligātā iepirkuma ietvaros iepērkamās elektroenerģijas apjomu atbilstoši tiem valsts atbalsta saņemšanas termiņiem, kādi izriet no noteikto elektroenerģijas apjomu pārdošanas uzsākšanas obligātā iepirkuma ietvaros, obligātā iepirkuma ietvaros iepērkamās elektroenerģijas aprēķinam piemērojamos pieslēguma vietu sistēmas operatora tīkliem mērījumu punktus un kopējo uzstādīto elektrisko jaudu, kā arī visu minēto lielumu izmaiņas atlikušajā valsts atbalsta periodā atbilstoši apvienotajām elektrostacijām piešķirtajām obligātā iepirkuma tiesībām vai garantētās maksas tiesībām. Dienests vienlaikus atceļ tos šo noteikumu 2.2. apakšpunktā minētos lēmumus, kas pieņemti attiecībā uz elektrostacijām, kuras pēc apvienošanas vairs nepastāv kā atsevišķas elektrostacijas."
41. Izteikt 49.6 punktu šādā redakcijā:
"49.6 Ja šo noteikumu 49.1 punktā minēto neatbilstību dienests konstatējis attiecībā uz šo noteikumu 49.5 punktā minēto komersantu, kuram nodotas tiesības un kurš apvieno elektrostaciju, kuras darbību reglamentē šie noteikumi, un elektrostaciju, kuras darbību reglamentē Ministru kabineta 2020. gada 2. septembra noteikumi Nr. 560 "Noteikumi par elektroenerģijas ražošanu, izmantojot atjaunīgos energoresursus, kā arī par cenu noteikšanas kārtību un uzraudzību", tā turpmākai darbībai no šo noteikumu 49.5 punktā minēto lēmuma grozījumu spēkā stāšanās dienas piemēro šos noteikumus."
42. Izteikt 50. punktu šādā redakcijā:
"50. Dienests mēneša laikā pieņem lēmumu, ar kuru tiek atceltas komersantam piešķirtās obligātā iepirkuma tiesības vai garantētās maksas tiesības, ja komersants:
50.1. neuzsāk elektroenerģijas ražošanu koģenerācijā šo noteikumu 2.2. apakšpunktā minētajā lēmumā noteiktajā termiņā;
50.2. nesaņem sistēmas operatora atļauju pieslēgt sistēmai koģenerācijas staciju ar elektrisko jaudu, kas ir vismaz 50 % no plānotās koģenerācijas stacijas elektriskās jaudas, kura norādīta šo noteikumu 2.1. apakšpunktā minētajā iesniegumā;
50.3. nenoslēdz šo noteikumu 2.3. apakšpunktā minēto līgumu ar publisko tirgotāju vai minētais līgums nestājas spēkā triju mēnešu laikā pēc dienas, kad iestājies termiņš elektroenerģijas ražošanas koģenerācijā uzsākšanai, kas noteikts šo noteikumu 2.2. apakšpunktā minētajā lēmumā."
43. Izteikt 52. punktu šādā redakcijā:
"52. Divu mēnešu laikā pēc šo noteikumu 41. punktā minētā brīdinājuma saņemšanas komersants, kam ir obligātā iepirkuma tiesības vai garantētās maksas tiesības, nodrošina koģenerācijas stacijas un komersanta atbilstību attiecīgajiem kritērijiem un iesniedz dienestā dokumentus, kas pierāda attiecīgo atbilstību."
44. Izteikt 52.1 punktu šādā redakcijā:
"52.1 Sešu mēnešu laikā pēc šo noteikumu 47.1. apakšpunktā minētā brīdinājuma saņemšanas komersants, kam ir obligātā iepirkuma tiesības vai garantētās maksas tiesības, nodrošina koģenerācijas stacijas atbilstību attiecīgajam kritērijam un iesniedz dienestā dokumentus, kas pierāda attiecīgo atbilstību."
45. Izteikt 52.2 punktu šādā redakcijā:
"52.2 Četru mēnešu laikā pēc šo noteikumu 47.3.apakšpunktā minētā brīdinājuma saņemšanas komersants, kam ir obligātā iepirkuma tiesības vai garantētās maksas tiesības, nodrošina koģenerācijas stacijas atbilstību attiecīgajam kritērijam un iesniedz dienestā dokumentus, kas pierāda attiecīgo atbilstību."
46. Izteikt 53. punktu šādā redakcijā:
"53. Vienlaikus ar šo noteikumu 47.2. apakšpunktā minēto brīdinājumu dienests pieņem lēmumu apturēt valsts atbalstu par iepirkto elektroenerģiju vai garantēto maksu par koģenerācijas stacijā uzstādīto elektrisko jaudu par periodu no lēmuma spēkā stāšanās dienas līdz šo noteikumu 53.2 punktā minētā lēmuma pieņemšanas dienai, kā arī lēmumu par pienākumu komersantam mēneša laikā atmaksāt publiskajam tirgotājam saņemto nepamatoto valsts atbalstu."
47. Izteikt 53.1 punktu šādā redakcijā:
"53.1 Lai atjaunotu saskaņā ar šo noteikumu 53. punktu apturēto valsts atbalstu, komersants divu mēnešu laikā pēc šo noteikumu 47.2. apakšpunktā minētā brīdinājuma saņemšanas nodrošina koģenerācijas stacijas atbilstību attiecīgajam kritērijam. Ja komersants ir atmaksājis publiskajam tirgotājam nepamatoti izmaksāto valsts atbalstu, dienests mēneša laikā pieņem lēmumu par apturētā valsts atbalsta atsākšanu. Publiskais tirgotājs apturēto valsts atbalstu atsāk no minētā lēmuma spēkā stāšanās dienas."
48. Izteikt 53.2 punktu šādā redakcijā:
"53.2 Ja komersants saskaņā ar šo noteikumu 53.1 punktu nenodrošina koģenerācijas stacijas atbilstību attiecīgajam kritērijam vai nepamatoti saņemtā valsts atbalsta atmaksu publiskajam tirgotājam, dienests mēneša laikā pieņem lēmumu par obligātā iepirkuma tiesību vai garantētās maksas tiesību atcelšanu."
49. Izteikt 53.3 punktu šādā redakcijā:
"53.3 Vienlaikus ar šo noteikumu 47.5. apakšpunktā minēto brīdinājumu dienests pieņem lēmumu apturēt valsts atbalstu par iepirkto elektroenerģiju vai garantēto maksu par koģenerācijas stacijā uzstādīto elektrisko jaudu par periodu no lēmuma spēkā stāšanās dienas līdz šo noteikumu 53.4 punktā minētā lēmuma pieņemšanas dienai, kā arī lēmumu par pienākumu komersantam mēneša laikā atmaksāt publiskajam tirgotājam saņemto nepamatoto valsts atbalstu, ko publiskais tirgotājs izmaksājis par periodu, kurā attiecīgā neatbilstība ir konstatēta."
50. Izteikt 53.4 punktu šādā redakcijā:
"53.4 Ja komersants saskaņā ar šo noteikumu 53.3 punktu ir atmaksājis publiskajam tirgotājam nepamatoti saņemto valsts atbalstu, dienests mēneša laikā pieņem lēmumu par saskaņā ar šo noteikumu 53.3 punktu apturētā valsts atbalsta atsākšanu. Publiskais tirgotājs apturēto valsts atbalstu atsāk no minētā lēmuma spēkā stāšanās dienas."
51. Izteikt 53.5 punktu šādā redakcijā:
"53.5 Ja komersants nenodrošina nepamatoti saņemtā valsts atbalsta atmaksu saskaņā ar šo noteikumu 53.3 punktu, dienests mēneša laikā pieņem lēmumu par obligātā iepirkuma tiesību vai garantētās maksas tiesību atcelšanu."
52. Izteikt 54. punktu šādā redakcijā:
"54. Ja ministrija, Būvniecības valsts kontroles birojs (turpmāk - birojs), Enerģētikas un vides aģentūra (turpmāk - aģentūra) vai dienests iepriekšējo triju gadu laikā komersantam ir nosūtījis trīs brīdinājumus saskaņā ar šo noteikumu 47. punktu un dienests konstatē komersanta vai tā koģenerācijas stacijas neatbilstību kādam no šo noteikumu 47. punktā minētajiem kritērijiem, dienests mēneša laikā pieņem lēmumu, ar kuru tiek atceltas komersantam piešķirtās obligātā iepirkuma tiesības vai garantētās maksas tiesības."
53. Izteikt 55. punktu šādā redakcijā:
"55. Ja pēc šo noteikumu 52., 52.1 vai 52.2 punktā minētā termiņa tiek konstatēta neatbilstība šo noteikumu 41. punktā vai 47.1. vai 47.3. apakšpunktā minētajiem kritērijiem vai ja komersants nav iesniedzis šo noteikumu 52.1 punktā minētos dokumentus par atbilstību šo noteikumu 47.1. apakšpunktam vai šo noteikumu 52.2 punktā minētos dokumentus par atbilstību šo noteikumu 47.3. apakšpunktam, dienests mēneša laikā pieņem lēmumu, ar kuru atceļ komersantam piešķirtās obligātā iepirkuma tiesības vai garantētās maksas tiesības."
54. Izteikt 56. punktu šādā redakcijā:
"56. Pēc obligātā iepirkuma tiesību atcelšanas vai pēc valsts atbalsta termiņa beigām komersants divu mēnešu laikā iesniedz šo noteikumu 32. punktā minēto pārskatu par kārtējo gadu. Ja dienests, pamatojoties uz šajā punktā minētajā pārskatā sniegto informāciju, konstatē pārkāpumus, par kuriem saskaņā ar šiem noteikumiem būtu atceļamas obligātā iepirkuma tiesības, dienests pieņem lēmumu par nepamatota vai nelikumīga valsts atbalsta atmaksāšanu."
55. Izteikt 56.1 punktu šādā redakcijā:
"56.1 Ja komersants pēc obligātā iepirkuma tiesību vai garantētās maksas tiesību atcelšanas vai pēc valsts atbalsta termiņa beigām šo noteikumu 56. punktā minētajā termiņā nav iesniedzis šo noteikumu 32. punktā minēto gada pārskatu, dienests mēneša laikā nosūta brīdinājumu par nepamatoti vai nelikumīgi saņemtā valsts atbalsta atmaksu. Ja komersants mēneša laikā pēc šajā punktā minētā brīdinājuma saņemšanas neiesniedz gada pārskatu, dienests pieņem lēmumu par pienākumu komersantam mēneša laikā atmaksāt publiskajam tirgotājam saņemto nepamatoto vai nelikumīgo valsts atbalstu."
56. Izteikt 57.1 punktu šādā redakcijā:
"57.1 Dienests, veicot obligātā iepirkuma tiesību un garantētās maksas tiesību izmantošanas uzraudzību, var piesaistīt ārējo ekspertu."
57. Izteikt 57.2 punktu šādā redakcijā:
"57.2 Pārvades sistēmas operators katru mēnesi līdz desmitajam datumam sniedz dienestam informāciju par tiem komersantiem, kuri noteiktajā termiņā par to īpašumā esošajām elektrostacijām nav iesnieguši šo noteikumu 31.2 vai 31.4 punktā minēto deklarāciju vai šo noteikumu 31.3 punktā minēto apliecinājumu. Dienests piecu darbdienu laikā pēc pārvades sistēmas operatora sniegtās informācijas saņemšanas pieņem lēmumu apturēt valsts atbalsta izmaksu par šajā punktā minētajās elektrostacijās iepirkto elektroenerģiju vai garantētās maksas par koģenerācijas stacijā uzstādīto elektrisko jaudu izmaksu par periodu pēc šo noteikumu 31.2, 31.3 vai 31.4 punktā minētā termiņa beigām."
58. Izteikt 57.3 punktu šādā redakcijā:
"57.3 Ja komersants vēlas atjaunot valsts atbalsta izmaksu par iepirkto elektroenerģiju vai garantētās maksas par koģenerācijas stacijā uzstādīto elektrisko jaudu izmaksu, kas apturēta saskaņā ar šo noteikumu 57.2 punktu, tas iesniedz dienestā apliecinājumu par šo noteikumu 31.2 vai 31.4 punktā minētās deklarācijas vai šo noteikumu 31.3 punktā minētā apliecinājuma iesniegšanu pārvades sistēmas operatoram. Dienests piecu darbdienu laikā pārliecinās par minēto deklarāciju vai apliecinājuma iesniegšanas faktu un, ja konstatē, ka atbilstoši sniegtajam apliecinājumam minētās deklarācijas vai apliecinājums ir iesniegts pārvades sistēmas operatoram, pieņem lēmumu par saskaņā ar šo noteikumu 57.2 punktu apturētās valsts atbalsta izmaksas par iepirkto elektroenerģiju vai garantētās maksas par koģenerācijas stacijā uzstādīto elektrisko jaudu izmaksas atsākšanu. Publiskais tirgotājs apturēto valsts atbalsta vai garantētās maksas izmaksu veic 10 kalendāra dienu laikā pēc minētā lēmuma spēkā stāšanās dienas."
59. Izteikt 60.3. apakšpunktu šādā redakcijā:
"60.3. koģenerācijas stacijām, kuru uzstādītā elektriskā jauda ir lielāka par 100 MW, jaudas komponenti par vienu uzstādīto elektrisko megavatu aprēķina, izmantojot šādu formulu:
J = 102 304 × s, kur
J - jaudas komponente par vienu uzstādīto elektrisko megavatu gadā (euro/MW gadā);
s - cenas diferencēšanas koeficients pārkompensācijas novēršanai, kas noteikts ministrijas, biroja, aģentūras vai dienesta lēmumā par cenas diferencēšanas koeficienta piemērošanu pārkompensācijas novēršanai."
60. Izteikt 61. punktu šādā redakcijā:
"61. Jaudas stacijām, kuras ir pieslēgtas pārvades sistēmai, koģenerācijas stacijas vai atsevišķas tās iekārtas uzstādītās elektriskās jaudas izmantošanas stundu skaits gadā ir vismaz 1200 stundu. Ja dienests konstatē, ka šajā punktā minētajā koģenerācijas stacijā uzstādītās elektriskās jaudas izmantošanas stundu skaits gadā ir mazāks par 1200 stundām un neatbilst šo noteikumu 65. punktā minētajiem nosacījumiem, dienests pieņem lēmumu par garantētās maksas tiesību izbeigšanu."
61. Izteikt 67.1. apakšpunktu šādā redakcijā:
"67.1. koģenerācijas stacijām, kas par kurināmo izmanto atjaunīgos energoresursus vai kūdru:
C = kAER × s, kur
C - cena bez pievienotās vērtības nodokļa, par kādu publiskais tirgotājs iepērk koģenerācijā saražoto elektroenerģiju (euro/MWh);
kAER - cenas diferencēšanas koeficients atjaunīgos energoresursus vai kūdru izmantojošām elektrostacijām, kas atkarīgs no koģenerācijas stacijā uzstādītās elektriskās jaudas;
s - cenas diferencēšanas koeficients pārkompensācijas novēršanai, kas noteikts ministrijas, biroja, aģentūras vai dienesta lēmumā par cenas diferencēšanas koeficienta piemērošanu pārkompensācijas novēršanai;".
62. Izteikt 67.2. apakšpunktu šādā redakcijā:
"67.2. koģenerācijas stacijām, kas par kurināmo izmanto dabasgāzi:
| C = | (Tgs × 10,538 + kgst + kgpu) | × k × 3,4 × s |
| 9,3 |
Tgs - Enerģētikas likumā noteiktajā kārtībā noteiktajā dabasgāzes cenā saistītajiem lietotājiem iekļautā dabasgāzes tirdzniecības cena bez pievienotās vērtības nodokļa (euro/MWh);
kgst - dabasgāzes cenas diferencēšanas koeficients, kas atkarīgs no koģenerācijas stacijā uzstādītās elektriskās jaudas;
kgpu - dabasgāzes pārvades un uzglabāšanas koeficients;
k - cenas diferencēšanas koeficients, kas atkarīgs no koģenerācijas stacijā uzstādītās elektriskās jaudas;
s - cenas diferencēšanas koeficients pārkompensācijas novēršanai, kas noteikts ministrijas, biroja, aģentūras vai dienesta lēmumā par cenas diferencēšanas koeficienta piemērošanu pārkompensācijas novēršanai;".
63. Izteikt 67.3. apakšpunktu šādā redakcijā:
"67.3. ja koģenerācijas stacijā par kurināmo izmanto atjaunīgos energoresursus un kūdras vai cita kurināmā maisījumu ar tiem, elektroenerģijas cenu aprēķina kā vidējo svērto lielumu proporcionāli dažādu veidu kurināmā patēriņam. Šādā gadījumā koģenerācijas staciju aprīko ar mērierīču sistēmu, kas ļauj atsevišķi uzskaitīt katra veida kurināmā patēriņu. Ja atjaunīgie energoresursi veido vismaz 90 % no koģenerācijas iekārtas patērētā kurināmā apjoma, pieņem, ka visa koģenerācijas iekārtā saražotā elektroenerģija ir ražota no atjaunīgajiem energoresursiem."
64. Izteikt 72.1. apakšpunktu šādā redakcijā:
"72.1. nav mazāks par 0 un nepārsniedz 1, un ir noteikts ministrijas, biroja, aģentūras vai dienesta lēmumā par cenas diferencēšanas koeficienta piemērošanu pārkompensācijas novēršanai;".
65. Izteikt 72.2. apakšpunktu šādā redakcijā:
"72.2. ir vienāds ar 1, ja ministrija, birojs, aģentūra vai dienests nav izdevis lēmumu par cenas diferencēšanas koeficienta piemērošanu pārkompensācijas novēršanai."
66. Izteikt 72.1 punktu šādā redakcijā:
"72.1 Komersants ne biežāk kā reizi gadā, iesniedzot iesniegumu, var lūgt dienestu palielināt vai samazināt šo noteikumu 60., 67. un 78. punktā minētajās formulās izmantoto cenas diferencēšanas koeficientu pārkompensācijas novēršanai s, atbilstoši pārskatot atlikušo valsts atbalsta perioda ilgumu. Dienests pieņem lēmumu par šo noteikumu 60., 67. un 78. punktā minētajās formulās izmantotā cenas diferencēšanas koeficienta pārkompensācijas novēršanai s un atlikušā valsts atbalsta perioda ilguma pārskatīšanu, ievērojot šo noteikumu 66., 68. un 79. punktā minēto valsts atbalsta periodu ilgumu, kā arī šo noteikumu 81.9 un 81.10 punktā minētos nosacījumus."
67. Izteikt 76. punktu šādā redakcijā:
"76. Dienests pārliecinās, vai komersanta šo noteikumu 32. punktā minētajā gada pārskatā minētais biogāzes koģenerācijas stacijā izmantotais kurināmā izejvielu īpatsvars atbilst šo noteikumu 73. punktā minētajam apjomam."
68. Izteikt 77. punktu šādā redakcijā:
"77. Publiskais tirgotājs līdz katra gada 15. februārim iesniedz dienestā šo noteikumu 74. punktā minētās komersantu sniegtās informācijas apkopojumu."
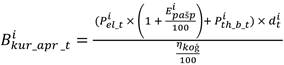
69. Izteikt 78.2. apakšpunktu šādā redakcijā:
"78.2. koģenerācijas stacijai vai šīs elektrostacijas koģenerācijas iekārtai, kurā par kurināmo izmanto dabasgāzi vai šķidro kurināmo, maksu par koģenerācijas stacijā uzstādīto elektrisko jaudu mēnesī aprēķina, maksu par elektrostacijā uzstādīto elektrisko jaudas vienību gadā (136 186 euro) reizinot ar uzstādīto elektrisko jaudu un dalot ar 12 mēnešiem:
| M = | 136186 × P × s | , kur |
| 12 |
M - garantētā maksa par koģenerācijas stacijā vai šīs elektrostacijas koģenerācijas iekārtā uzstādīto elektrisko jaudu (euro/mēnesī);
P - koģenerācijas stacijas vai koģenerācijas iekārtas uzstādītā elektriskā jauda, kas atbilst iekārtu izgatavotāja noteikto bruto jaudu summai (MW);
s - cenas diferencēšanas koeficients pārkompensācijas novēršanai, kas noteikts ministrijas, biroja, aģentūras vai dienesta lēmumā par cenas diferencēšanas koeficienta piemērošanu pārkompensācijas novēršanai;".
70. Izteikt 78.3. apakšpunktu šādā redakcijā:
"78.3. ja koģenerācijas stacijā par kurināmo izmanto atjaunīgos energoresursus un kūdras vai cita kurināmā maisījumu ar tiem, garantēto maksu aprēķina kā vidējo svērto lielumu proporcionāli dažādu veidu kurināmā patēriņam. Šādā gadījumā koģenerācijas staciju aprīko ar mērierīču sistēmu, kas ļauj atsevišķi uzskaitīt katra veida kurināmā patēriņu. Ja atjaunīgie energoresursi veido vismaz 90 % no koģenerācijas iekārtas patērētā kurināmā apjoma, pieņem, ka visa koģenerācijas iekārtā saražotā elektroenerģija ir ražota no atjaunīgajiem energoresursiem."
71. Izteikt 80.1 punktu šādā redakcijā:
"80.1 Ja dienests konstatē, ka komersants ir turpinājis saņemt valsts atbalstu pēc koģenerācijas stacijas pamatlīdzekļu pilna nolietojuma saskaņā ar normatīvajiem aktiem par grāmatvedības prasībām, dienests pieņem lēmumu par obligātā iepirkuma tiesību vai garantētās maksas tiesību atcelšanu un šo noteikumu 87. punktā minēto lēmumu, nelikumīgi saņemto valsts atbalstu skaitot no dienas, kad iestājies koģenerācijas stacijas pamatlīdzekļu pilns nolietojums."
72. Izteikt 81.11. apakšpunktu šādā redakcijā:
"81.11. publiskajam tirgotājam par cenu, kas aprēķināta pēc formulas:
C = CNPS - X (bez PVN) , kur
C - cena bez pievienotās vērtības nodokļa, par kādu publiskais tirgotājs iepērk no koģenerācijas stacijas elektroenerģiju (euro/MWh) periodā, kurā apturēts valsts atbalsts;
CNPS - elektroenerģijas biržas Nord Pool AS Latvijas tirdzniecības apgabala nākamās dienas elektroenerģijas tirgus (Day-Ahead) tirdzniecības intervāla cena;
X - publiskā tirgotāja noteikta maksa, kas ietver pārdošanas un balansēšanas izmaksas un kuru publiskais tirgotājs publicē savā tīmekļvietnē;".
73. Izteikt 81.2 punktu šādā redakcijā:
"81.2 Dienests veic aprēķinu par koģenerācijas stacijas kopējo kapitālieguldījumu iekšējo peļņas normu visam valsts atbalsta periodam saskaņā ar šo noteikumu 81.8 punktu. Dienests nosaka cenas diferencēšanas koeficientu pārkompensācijas novēršanai saskaņā ar šo noteikumu 81.10 punktu un pieņem lēmumu, ar kuru nosaka cenas diferencēšanas koeficientu pārkompensācijas novēršanai s. Lēmumā nosaka tā piemērošanas sākuma datumu."
74. Izteikt 81.3 punktu šādā redakcijā:
"81.3 Dienests koģenerācijas stacijas kopējo kapitālieguldījumu iekšējās peļņas normu visam valsts atbalsta periodam pārrēķina un cenas diferencēšanas koeficientu pārkompensācijas novēršanai s aprēķina reizi gadā, kā arī šādos gadījumos:
81.31. ja tiek konstatētas koģenerācijas stacijas uzstādītās elektriskās vai siltuma jaudas izmaiņas, tostarp īstenojot šo noteikumu 49.4 punktā minēto apvienošanu;
81.32. ja tiek pārskatītas un mainītas šo noteikumu 8. pielikumā minētās vērtības;
81.33. ja tiek konstatēti koģenerācijas stacijas pārkompensācijas riski;
81.34. mēneša laikā no brīža, kad komersantam ir beigušās obligātā iepirkuma tiesības vai garantētās maksas tiesības;
81.35. mēneša laikā no brīža, kad komersants saskaņā ar šo noteikumu 19. punktu ir iesniedzis iesniegumu par atteikšanos no obligātā iepirkuma tiesībām vai garantētās maksas tiesībām, vai no brīža, kad pieņemts lēmums par obligātā iepirkuma tiesību vai garantētās maksas tiesību atcelšanu pirms obligātā iepirkuma tiesību vai garantētās maksas tiesību beigu datuma."
75. Izteikt 81.4 punktu šādā redakcijā:
"81.4 Komersantam ir pienākums pastāvīgi sekot līdzi rādītājiem, kas var ietekmēt kopējo kapitālieguldījumu iekšējās peļņas normu, un nekavējoties informēt dienestu par apstākļiem, kas var norādīt uz pārkompensācijas risku iestāšanos."
76. Izteikt 81.5 punktu šādā redakcijā:
"81.5 Dienests ir tiesīgs pieprasīt, lai komersants iesniedz informāciju un dokumentus, kas nepieciešami kopējo kapitālieguldījumu iekšējās peļņas normas aprēķina veikšanai. Komersantam ir pienākums 10 darbdienu laikā pēc dienesta pieprasījuma saņemšanas iesniegt pieprasīto informāciju."
77. Izteikt 81.6 punktu šādā redakcijā:
"81.6 Ja komersants noteiktajā termiņā neiesniedz šo noteikumu 81.5 punktā minēto informāciju un dokumentus (izņemot šo noteikumu 81.85., 81.86. un 81.89. apakšpunktā minētos gadījumus) vai ja komersanta iesniegtā informācija un dokumenti nav pilnīgi vai līdz tiesisku pierādījumu ticamības pakāpei nepierāda komersanta sniegtās ziņas, dienests pieņem lēmumu apturēt valsts atbalsta izmaksu par iepirkto elektroenerģiju vai garantētās maksas par koģenerācijas stacijā uzstādīto elektrisko jaudu izmaksu. Publiskais tirgotājs nākamajā darbdienā pēc lēmuma stāšanās spēkā aptur valsts atbalsta izmaksu par iepirkto elektroenerģiju vai garantētās maksas par koģenerācijas stacijā uzstādīto elektrisko jaudu izmaksu līdz jauna dienesta lēmuma pieņemšanai saskaņā ar šo noteikumu 81.7 punktu."
78. Izteikt 81.7 punktu šādā redakcijā:
"81.7 Ja komersants vēlas atjaunot valsts atbalsta izmaksu, kas apturēta saskaņā ar šo noteikumu 81.6 punktu, tas divu mēnešu laikā no valsts atbalsta apturēšanas brīža iesniedz dienestā šo noteikumu 81.5 punktā minēto informāciju un dokumentus. Dienests piecu darbdienu laikā pēc informācijas un dokumentu saņemšanas pieņem lēmumu par saskaņā ar šo noteikumu 81.6 punktu apturētās valsts atbalsta izmaksas atsākšanu. Publiskais tirgotājs apturēto valsts atbalsta izmaksu veic 10 kalendāra dienu laikā pēc minētā lēmuma spēkā stāšanās dienas. Ja komersants divu mēnešu laikā nesniedz pieprasīto informāciju un dokumentus, dienests pieņem lēmumu par komersantam piešķirto obligātā iepirkuma tiesību vai garantētās maksas tiesību atcelšanu."
79. Izteikt 81.8 punktu šādā redakcijā:
"81.8 Dienests koģenerācijas stacijas kopējo kapitālieguldījumu iekšējās peļņas normas aprēķinu veic šādā kārtībā:
81.81. aprēķinā izmanto šo noteikumu 8. pielikumā minētās formulas;
81.82. aprēķinam nepieciešamos datus par elektroenerģijas apjomu un cenu, kas iepirkta obligātā iepirkuma ietvaros, dienests pieprasa publiskajam tirgotājam;
81.83. aprēķinā norāda koģenerācijas stacijas darbību raksturojošo rādītāju faktiskās vērtības gan ieņēmumu, gan izdevumu daļā, izņemot koģenerācijas stacijas ekspluatācijas izmaksu vērtības, ko nosaka atbilstoši šo noteikumu 8. pielikumā minētajām līmeņatzīmēm;
81.84. elektrostacijas ekspluatācijas izmaksas nosaka atbilstoši šo noteikumu 8. pielikumā minētajām līmeņatzīmēm procentuāli no koģenerācijas stacijā veiktajām investīcijām un atkarībā no koģenerācijas stacijas veida;
81.85. ja komersants nevar iesniegt koģenerācijas stacijā veikto sākotnējo investīciju faktiskos datus, tad, veicot aprēķinu, tiek pieņemts, ka koģenerācijas stacijā veikto sākotnējo investīciju apjoms ir vienāds ar 0 (izņemot šo noteikumu 81.89. apakšpunktā minēto gadījumu);
81.86. ja komersants par kādu koģenerācijas stacijas darbības periodu nevar iesniegt kurināmā cenas vai siltumenerģijas ražošanas tarifa faktiskos datus, tad aprēķinā par šo periodu, kas nav īsāks par vienu kalendāra mēnesi, izmanto šo noteikumu 8. pielikumā minētās līmeņatzīmes;
81.87. ja koģenerācijas stacijā saražotā elektroenerģija tiek pārdota ārpus obligātā iepirkuma, komersants iesniedz pārdotās elektroenerģijas apjoma un cenas faktiskās vērtības par katru norēķinu periodu;
81.88. tīrās naudas plūsmas aprēķinā iekļauj tikai tās koģenerācijas stacijā veiktās faktiskās papildu investīcijas, kas veiktas, lai atbilstoši ražošanas tehnoloģijai nodrošinātu koģenerācijas stacijas tehnoloģiskās funkcijas atbilstoši vienotā tehnoloģiskā cikla principam vai palielinātu koģenerācijas stacijas elektrisko jaudu. Tīrās naudas plūsmas aprēķinā papildu investīciju apjomu (izteiktu euro vērtībā) iekļauj gadā, kurā tās tikušas veiktas;
81.89. ja komersants sākotnējās investīcijas koģenerācijas stacijā ir veicis, pirms ir pieņemts lēmums par obligātā iepirkuma tiesību vai garantētās maksas tiesību piešķiršanu saskaņā ar Elektroenerģijas tirgus likuma 28. vai 28.1 pantu, aprēķinā norāda koģenerācijas stacijā veikto sākotnējo investīciju faktiskās vērtības vai nosaka tās saskaņā ar šo noteikumu 8. pielikumā minētajām līmeņatzīmēm;
81.810. koģenerācijas stacijām, par kurām tiek maksāta garantētā maksa par koģenerācijas stacijā uzstādīto elektrisko jaudu, elektroenerģijas cena nākotnes periodiem jāpamato ar NASDAQ OMX biržas elektroenerģijas finanšu kontraktu cenu kotāciju Latvijas cenu apgabalam. Aprēķinos jāizmanto vidējās cenu kotācijas pēdējā mēneša laikā pirms aprēķinu iesniegšanas dienestā;
81.811. ja komersantam ir apturēta un pēc tam atjaunota valsts atbalsta izmaksa, aprēķinā iekļauj arī valsts atbalstu, kas komersantam nav izmaksāts periodā, kad atbalsta izmaksa ir bijusi apturēta."
80. Izteikt 81.11 punktu šādā redakcijā:
"81.11 Ja atbilstoši šo noteikumu 81.10 punktā minētajam aprēķinam noteiktais cenas diferencēšanas koeficients pārkompensācijas novēršanai s ir vienāds ar 0 un aprēķinātā koģenerācijas stacijas kopējo kapitālieguldījumu iekšējā peļņas norma valsts atbalsta perioda beigās pārsniedz 9 %, dienests aprēķina atgūstamā valsts atbalsta apmēru un pieņem lēmumu par nelikumīgi saņemtā valsts atbalsta atgūšanu saskaņā ar šo noteikumu 87. punktu. Atgūstamā valsts atbalsta apmērs tiek aprēķināts, aizstājot ieņēmumus no elektroenerģijas pārdošanas ar ikmēneša maksājumu, kas nodrošinātu, ka koģenerācijas stacijas kopējo kapitālieguldījumu iekšējā peļņas norma valsts atbalsta perioda beigās nepārsniedz 9 %."
81. Izteikt 85. punktu šādā redakcijā:
"85. Komersantam ir tiesības iesniegt Ministru kabinetā pieprasījumu pārskatīt šo noteikumu 82. punktā minētā avansa saistību izpildi attiecībā uz atlikušās avansa daļas izmaksu pa gadiem. Lēmuma projektu par atlikušās avansa daļas izmaksas pa gadiem pārskatīšanu vai par atteikumu pārskatīt atlikušās avansa daļas izmaksu pa gadiem sagatavo dienests, un klimata un enerģētikas ministrs steidzamības kārtībā iesniedz to izskatīšanai Ministru kabinetā."
82. Izteikt 86. punktu šādā redakcijā:
"86. Ja dienests, konstatē, ka komersants ir saņēmis nepamatotu valsts atbalstu, dienests nekavējoties pieņem lēmumu par pienākumu komersantam mēneša laikā atmaksāt publiskajam tirgotājam nepamatoti saņemto valsts atbalstu, ko publiskais tirgotājs izmaksājis par visu periodu, kurā komersants valsts atbalstu saņēmis nepamatoti. Šo noteikumu 46.5., 48.1., 48.4., 48.5., 48.6., 48.7. apakšpunktā, 53. un 61. punktā minētajos gadījumos šis periods nav īsāks par laikposmu kopš šo noteikumu 32. punktā minētā pēdējā gada pārskata iesniegšanas termiņa. Šo noteikumu 34. un 56.1 punktā minētajos gadījumos šis periods nav īsāks par laikposmu kopš šo noteikumu 32. punktā minētā gada pārskata perioda pirmās dienas. Šo noteikumu 54. punktā minētajā gadījumā šis periods nav īsāks par laikposmu kopš pēdējā brīdinājuma paziņošanas komersantam. Šo noteikumu 55. punktā minētajā gadījumā šis periods nav īsāks par laikposmu kopš brīdinājuma paziņošanas komersantam."
83. Izteikt 86.1 punktu šādā redakcijā:
"86.1 Ja dienesta rīcībā nonākuši pierādījumi par pārkāpumiem, par kuriem atbilstoši attiecīgajā laikposmā spēkā esošajiem normatīvajiem aktiem ir bijis jāatceļ obligātā iepirkuma tiesības vai garantētās maksas tiesības, bet tas nav ticis izdarīts, dienests mēneša laikā pēc fakta konstatēšanas pieņem lēmumu par obligātā iepirkuma tiesību atcelšanu kopš minētā pārkāpuma izdarīšanas brīža, vienlaikus pieņemot lēmumu par pienākumu mēneša laikā atmaksāt publiskajam tirgotājam nepamatoti saņemto valsts atbalstu, ko publiskais tirgotājs izmaksājis par visu periodu, kopš komersants valsts atbalstu saņēmis nepamatoti."
84. Izteikt 86.2 punktu šādā redakcijā:
"86.2 Komersants, iesniedzot motivētu iesniegumu, var lūgt dienestam pagarināt šo noteikumu 53., 53.3, 86. un 86.1 punktā minēto nepamatoti saņemtā valsts atbalsta atmaksas termiņu, maksājumu sadalot daļās. Dienests, pamatojoties uz komersanta iesniegumu, var lemt par atmaksājamā nepamatoti saņemtā valsts atbalsta sadalīšanu daļās, nosakot komersantam pienākumu to pilnībā atmaksāt publiskajam tirgotājam ne vēlāk kā triju mēnešu laikā no šo noteikumu 53., 53.1, 86. un 86.1 punktā minētā lēmuma spēkā stāšanās brīža."
85. Izteikt 87. punktu šādā redakcijā:
"87. Ja tiek konstatēts, ka komersants pārkāpis Elektroenerģijas tirgus likumā vai šajos noteikumos minētos valsts atbalsta nosacījumus un saņemtais valsts atbalsts uzskatāms par nelikumīgu valsts atbalstu, dienests mēneša laikā pēc šā fakta konstatēšanas pieņem lēmumu, ar kuru atceļ komersantam piešķirtās obligātā iepirkuma tiesības un nosaka komersantam pienākumu atmaksāt publiskajam tirgotājam šo noteikumu ietvaros saņemto nelikumīgo valsts atbalstu kopā ar procentiem saskaņā ar Komercdarbības atbalsta kontroles likuma IV vai V nodaļu."
86. Izteikt 89. punktu šādā redakcijā:
"89. Ja komersants nepilda šo noteikumu 53., 53.3, 86., 86.1, 86.2 vai 87. punktā minēto lēmumu tajā noteiktajā termiņā, publiskais tirgotājs triju darbdienu laikā par to informē dienestu, norādot neatmaksātās summas apmēru, tai skaitā šo noteikumu 87. punktā minētos procentus."
87. Izteikt 89.1 punktu šādā redakcijā:
"89.1 Dienests pieņem lēmumu atcelt komersantam piešķirtās tiesības pārdot koģenerācijā saražoto elektroenerģiju obligātā iepirkuma ietvaros vai saņemt maksu par koģenerācijas stacijā uzstādīto elektrisko jaudu, sākot ar nākamo dienu, kad sasniegts Elektroenerģijas tirgus likuma 30.4 panta pirmajā un otrajā daļā noteiktais termiņš."
88. Izteikt 89.2 punktu šādā redakcijā:
"89.2 Publiskais tirgotājs pārtrauc elektroenerģijas iepirkšanu obligātā iepirkuma ietvaros vai maksājumus par uzstādīto jaudu no dienas, kad saskaņā ar šo noteikumu 89.1 punktā minēto dienesta lēmumu komersantam atceltas obligātā iepirkuma tiesības vai garantētās maksas tiesības."
89. Izteikt 104. punktu šādā redakcijā:
"104. Ja konstatēta koģenerācijas stacijas neatbilstība elektroenerģijas pašpatēriņa prasībām laikposmā līdz 2020. gada 10. septembrim (ieskaitot), dienests pieņem lēmumu par šajā laikposmā komersanta saņemtā valsts atbalsta atmaksāšanu publiskajam tirgotājam vai ieturējumu no izmaksājamā valsts atbalsta finanšu apjoma atbilstoši konstatētās pašpatēriņa neatbilstības apmēram."
90. Izteikt 105. punktu šādā redakcijā:
"105. Šo noteikumu 47.2. apakšpunktā minētais kritērijs par brīdinājuma izteikšanu komersantam, ja tas nav iesniedzis šo noteikumu 21.1. un 21.2. apakšpunktā minēto mērīšanas līdzekļu verificēšanas sertifikātu, ir piemērojams no 2023. gada 1. marta."
91. Izteikt 1. pielikumu jaunā redakcijā (1. pielikums).
92. Izteikt 4. pielikumu jaunā redakcijā (2. pielikums).
93. Izteikt 5. pielikumu jaunā redakcijā (3. pielikums).
94. Izteikt 8. pielikumu jaunā redakcijā (4. pielikums).
Ministru prezidente E. Siliņa
Klimata un enerģētikas ministra pienākumu
izpildītājs ‒
zemkopības ministrs A. Krauze
1. pielikums
Ministru kabineta
2025. gada 4. novembra
noteikumiem Nr. 649
"1. pielikums
Ministru kabineta
2020. gada 2. septembra
noteikumiem Nr. 561
I. Harmonizētie lietderības koeficienti ar klimata korekciju atsevišķai elektroenerģijas ražošanai
|
Kurināmais |
Kategorija |
Kurināmā veids |
Koģenerācijas elektrostacijas ekspluatācijā nodošanas gads |
||
|
2012. un agrāk |
2012.-2015. |
2016. un vēlāk |
|||
|
Cietais kurināmais |
S1 |
Akmeņogles, ieskaitot antracītu, bitumena ogles, melno lignītu, koksu, puskoksu, naftas koksu |
0,442 |
0,442 |
0,442 |
|
S2 |
Lignīts, lignīta briketes, slānekļa nafta |
0,418 |
0,418 |
0,418 |
|
|
S3 |
Kūdra, kūdras briketes |
0,390 |
0,390 |
0,390 |
|
|
S4 |
Sausa biomasa, ieskaitot koksnes granulas un briketes, žāvēta šķelda, tīri koksnes atlikumi, riekstu čaumalas un olīvu un citi kauliņi |
0,330 |
0,330 |
0,370 |
|
|
S5 |
Cita cietā biomasa, ieskaitot visu veidu cieto biomasu, kas nav uzskaitīta kategorijā S4, kā arī melnais un brūnais atsārms |
0,250 |
0,250 |
0,300 |
|
|
S6 |
Sadzīves un rūpnieciskie atkritumi (neatjaunīgie) un atjaunīgie/bioloģiski noārdāmie atkritumi |
0,250 |
0,250 |
0,250 |
|
|
Šķidrais kurināmais |
L7 |
Mazuts, gāzeļļa, dīzeļeļļa, citi naftas produkti |
0,442 |
0,442 |
0,442 |
|
L8 |
Biodegvielas, ieskaitot biometanolu, bioetanolu, biobutanolu, biodīzeļdegvielu un citas biodegvielas |
0,442 |
0,442 |
0,442 |
|
|
L9 |
Šķidrā veida atkritumi, ieskaitot bioloģiski noārdāmus atkritumus un neatjaunīgos atkritumus (tai skaitā pirolīzes eļļu, kausētus taukus, taukus un izlietotos graudus) |
0,250 |
0,250 |
0,290 |
|
|
Gāzveida kurināmais |
G10 |
Dabasgāze, SNG, SDG un biometāns |
0,533 |
0,533 |
0,538 |
|
G11 |
Rafinēšanas gāze, ūdeņradis un sintēzes gāze |
0,450 |
0,450 |
0,450 |
|
|
G12 |
Biogāze, kas iegūta no anaerobās sadalīšanas, atkritumu poligona un notekūdeņu attīrīšanas |
0,428 |
0,428 |
0,428 |
|
|
G13 |
Koksa gāze, domnas gāze, kalnrūpniecības gāze un citas atgūstamās gāzes (izņemot rafinēšanas gāzi) |
0,358 |
0,358 |
0,358 |
|
|
Cits |
O14 |
Siltuma pārpalikums (ieskaitot augstas temperatūras procesu izplūdes gāzes, eksotermiskas ķīmiskās reakcijas produktus) |
- |
- |
0,300 |
|
O15 |
Kodolenerģija |
- |
- |
0,300 |
|
|
O16 |
Saules enerģija |
- |
- |
0,300 |
|
|
O17 |
Ģeotermālā enerģija |
- |
- |
0,300 |
|
|
O18 |
Cita veida kurināmais, kas nav minēts šajā tabulā |
- |
- |
0,300 |
|
II. Lietderības koeficienti atsevišķai siltumenerģijas ražošanai
|
Kurināmais |
Kategorija |
Kurināmā veids |
Siltumenerģijas izmantošanas veids |
||
|
Karstais ūdens |
Tvaiks1 |
Dūmgāzu tiešā izmantošana2 |
|||
|
Cietais kurināmais |
S1 |
Akmeņogles, ieskaitot antracītu, bitumena ogles, melno lignītu, koksu, puskoksu, naftas koksu |
0,88 |
0,83 |
0,80 |
|
S2 |
Lignīts, lignīta briketes, slānekļa nafta |
0,86 |
0,81 |
0,78 |
|
|
S3 |
Kūdra, kūdras briketes |
0,86 |
0,81 |
0,78 |
|
|
S4 |
Sausa biomasa, ieskaitot koksnes granulas un briketes, žāvēta šķelda, tīri koksnes atlikumi, riekstu čaumalas un olīvu un citi kauliņi |
0,86 |
0,81 |
0,78 |
|
|
S5 |
Cita cietā biomasa, ieskaitot visu veidu cieto biomasu, kas nav uzskaitīta kategorijā S4, kā arī melnais un brūnais atsārms |
0,80 |
0,75 |
0,72 |
|
|
S6 |
Sadzīves un rūpnieciskie atkritumi (neatjaunīgie) un atjaunīgie/bioloģiski noārdāmie atkritumi |
0,80 |
0,75 |
0,72 |
|
|
Šķidrais kurināmais |
L7 |
Mazuts, gāzeļļa, dīzeļeļļa, citi naftas produkti |
0,85 |
0,80 |
0,77 |
|
L8 |
Biodegvielas, ieskaitot biometanolu, bioetanolu, biobutanolu, biodīzeļdegvielu un citas biodegvielas |
0,85 |
0,80 |
0,77 |
|
|
L9 |
Šķidrā veida atkritumi, ieskaitot bioloģiski noārdāmus atkritumus un neatjaunīgos atkritumus (ieskaitot pirolīzes eļļu, kausētus taukus, taukus un izlietotos graudus) |
0,75 |
0,70 |
0,67 |
|
|
Gāzveida kurināmais |
G10 |
Dabasgāze, SNG, SDG un biometāns |
0,92 |
0,87 |
0,84 |
|
G11 |
Rafinēšanas gāze, ūdeņradis un sintēzes gāze |
0,90 |
0,85 |
0,82 |
|
|
G12 |
Biogāze, kas iegūta no anaerobās sadalīšanas, atkritumu poligona un notekūdeņu attīrīšanas |
0,80 |
0,75 |
0,72 |
|
|
G13 |
Koksa gāze, domnas gāze, kalnrūpniecības gāze un citas atgūstamās gāzes (izņemot rafinēšanas gāzi) |
0,80 |
0,75 |
0,72 |
|
|
Cits |
O14 |
Siltuma pārpalikums (ieskaitot augstas temperatūras procesu izplūdes gāzes, eksotermiskas ķīmiskās reakcijas produktus) |
0,92 |
0,87 |
- |
|
O15 |
Kodolenerģija |
0,92 |
0,87 |
- |
|
|
O16 |
Saules enerģija |
0,92 |
0,87 |
- |
|
|
O17 |
Ģeotermālā enerģija |
0,92 |
0,87 |
- |
|
|
O18 |
Cita veida kurināmais, kas nav minēts šajā tabulā |
0,92 |
0,87 |
- |
|
Piezīmes.
1 Šīs vērtības izmanto stacijām, kas darbojas ar tvaiku un nodotas ekspluatācijā pēc 2015. gada 31. decembra. Ja šādām stacijām, aprēķinot lietderības koeficientu atsevišķai siltumenerģijas ražošanai, neņem vērā kondensāta atgūšanu, tad tabulā norādītās vērtības tvaikam palielina par 5 procentpunktiem.
2 Šīs vērtības izmanto, ja dūmgāzu temperatūra ir 250 °C vai augstāka."
2. pielikums
Ministru kabineta
2025. gada 4. novembra
noteikumiem Nr. 649
"4. pielikums
Ministru kabineta
2020. gada 2. septembra
noteikumiem Nr. 561
Koģenerācijas elektrostacijas gada pārskatā norāda šādu informāciju:
1. Vispārīga informācija par koģenerācijas elektrostaciju:
1.1. komersants (nosaukums, juridiskā adrese, reģistrācijas numurs);
1.2. oficiālā elektroniskā adrese;
1.3. koģenerācijas elektrostacijas atrašanās vieta (adrese vai zemesgabala kadastra numurs);
1.4. koģenerācijas elektrostacijas vai koģenerācijas iekārtas ekspluatācijā nodošanas gads;
1.5. koģenerācijas elektrostacijas vai koģenerācijas iekārtas uzstādītā jauda:
1.5.1. elektriskā (MW);
1.5.2. siltuma (MW)1;
1.6. koģenerācijas tehnoloģija;
1.7. izmantotā kurināmā veids/veidi;
1.8. darbinieku skaits;
1.9. lietderīgās siltumenerģijas lietotājs (nosaukums, juridiskā adrese, reģistrācijas numurs);
1.10. lietderīgās siltumenerģijas izmantošanas veids (karstais ūdens, tvaiks vai dūmgāzu tiešā izmantošana);
1.11. persona, kura saskaņā ar Noziedzīgi iegūtu līdzekļu legalizācijas un terorisma un proliferācijas finansēšanas novēršanas likuma 1. panta 5. punkta "a" vai "b" apakšpunktu uzskatāma par kapitālsabiedrības patieso labuma guvēju, un dati, kas ļauj šo personu nepārprotami identificēt2;
1.12. spriegums tīklā, kuram pieslēgta koģenerācijas elektrostacija (kV);
1.13. kontaktpersona (elektroniskā pasta adrese, tālruņa numurs), ar kuru dienests var sazināties saistībā ar plānotajām pārbaudēm;
1.14. kontaktpersona (tālruņa numurs), kura var nodrošināt dienesta pārstāvjiem piekļuvi koģenerācijas elektrostacijai;
1.15. skaitītāju identifikācijas numuri.
Piezīmes.
1 Koģenerācijas elektrostacijas uzstādītā siltuma jauda, kas atbilst elektrostacijā uzstādīto koģenerācijas iekārtu izgatavotāja noteikto bruto siltumjaudu summai.
2 Ja komersants objektīvu iemeslu dēļ nevar noskaidrot personu, kura uzskatāma par kapitālsabiedrības patieso labuma guvēju, vai nevar iegūt atsevišķas ziņas par minēto personu vai ja šādas personas nav, komersants norāda iemeslus, kuru dēļ ziņas par kapitālsabiedrības patieso labuma guvēju netiek sniegtas.
2. Informācija par koģenerācijas elektrostacijas darbību:
2.1. informācija par koģenerācijas iekārtā patērēto kurināmo1 (pa mēnešiem, kopā gadā):
2.1.1. gāzes patēriņš (1000 m3);
2.1.2. gāzes zemākā siltumspēja (MWh/1000 m3);
2.1.3. gāzes patēriņš (MWh);
2.1.4. gāzes cena2 (EUR/1000 m3);
2.1.5. šķidrā kurināmā patēriņš (t);
2.1.6. šķidrā kurināmā zemākā siltumspēja (MWh/t);
2.1.7. šķidrā kurināmā patēriņš (MWh);
2.1.8. šķidrā kurināmā cena (EUR/t);
2.1.9. cietā kurināmā patēriņš (m3 ber);
2.1.10. cietā kurināmā blīvums (kg/m3 ber);
2.1.11. cietā kurināmā zemākā siltumspēja (MWh/t);
2.1.12. cietā kurināmā patēriņš (MWh);
2.1.13. cietā kurināmā cena (EUR/m3 ber);
2.1.14. kopējais kurināmā patēriņš (MWh);
2.2. informācija par koģenerācijas iekārtā saražoto un izlietoto siltumenerģiju (pa mēnešiem, kopā gadā):
2.2.1. koģenerācijas iekārtā saražotā siltumenerģija (MWh);
2.2.2. lietotājam pārdotā lietderīgā siltumenerģija (MWh);
2.2.3. lietderīgās siltumenerģijas pārdošanas cena (EUR/MWh);
2.3. informācija par biogāzes ražošanas iekārtā izmantoto kurināmā izejvielu4 biogāzes ražošanai (pa mēnešiem, kopā gadā):
2.3.1. kurināmā izejvielas nosaukums atbilstoši šo noteikumu 7. pielikumam:
2.3.1.1. patēriņš naturālā izteiksmē (t; m3 (norādīt atbilstošo));
2.3.1.2. īpatsvars kopējā izejvielu apjomā (%);
2.4. informācija par koģenerācijas iekārtā saražoto, pārdoto un pirkto elektroenerģiju (pa mēnešiem, kopā gadā):
2.4.1. saražotā elektroenerģija (MWh);
2.4.2. tīklā nodotā elektroenerģija (MWh), tai skaitā:
2.4.3. obligātā iepirkuma ietvaros pārdotā (MWh);
2.4.4. elektroenerģijas tirgū pārdotā (MWh);
2.4.5. pirktā elektroenerģija (MWh);
2.4.6. koģenerācijas iekārtas faktiskais kopējais lietderības koeficients3 (%);
2.4.7. par koģenerācijā saražotu atzīstamā elektroenerģija (MWh);
2.4.8. koģenerācijā saražotās elektroenerģijas pārdošanas cena (EUR/MWh).
3. Pārskata periodā spēkā esoša lietderīgās siltumenerģijas pārdošanas līguma kopija.
4. Regulatora lēmuma kopija par siltumenerģijas tarifu (ja attiecināms).
5. Dokumentu kopijas, kuri apliecina ikmēneša pārdotās siltumenerģijas apjomu un cenu.
6. Auditora ziņojums.
7. Kurināmā siltumspējas noteikšana:
7.1. apraksts par izmantotā kurināmā siltumspējas noteikšanu;
7.2. aprēķina piemērs par izmantotā kurināmā siltumspējas noteikšanu.
8. Informācija par mērīšanas līdzekļiem un mērīšanas līdzekļu sistēmām:
8.1. mērīšanas līdzekļu un mērīšanas līdzekļu sistēmu uzskaitījums, identifikācijas numuri un verificēšanas vai kalibrēšanas termiņi;
8.2. izmantoto kurināmā mērīšanas līdzekļu vai mērīšanas līdzekļu sistēmu darbības apraksts (ja attiecināms);
8.3. biogāzes stacijā izmantoto biogāzes izejvielu mērīšanas līdzekļu vai mērīšanas līdzekļu sistēmu darbības apraksts (ja attiecināms).
9. Dokumentu kopijas par laboratorijās veiktajiem mērījumiem.
10. Paskaidrojuma raksts par pārskata gadā veiktajām izmaiņām koģenerācijas elektrostacijā, tai skaitā norādot koģenerācijas elektrostacijas elementus, ko skar attiecīgās izmaiņas.
11. Informācija par elektrostacijas pamatlīdzekļu nolietojumu.
Piezīmes.
1 Sniedz informāciju par tiem kurināmā veidiem, kuri faktiski ir patērēti. Gāzveida kurināmos norāda pēc dabasgāzes parauga. Beramos kurināmos (koksnes šķelda, skaidas, kubikmetros mērāma biomasa) norāda pēc koksnes šķeldas parauga. Citu veidu kurināmos norāda pēc degvieleļļas parauga.
2 Visas cenas un tarifus norāda bez PVN. Dabasgāzes tarifu un patēriņu norāda, ņemot vērā faktisko vai normatīvo zemāko siltumspēju, kas pēc iesniedzēja izvēles lietota informācijas tabulā.
3 Aprēķina, izmantojot šo noteikumu 26.1. apakšpunktā minēto formulu.
4 Aizpilda komersants, kas elektroenerģiju ražo biogāzes elektrostacijā."
3. pielikums
Ministru kabineta
2025. gada 4. novembra
noteikumiem Nr. 649
"5. pielikums
Ministru kabineta
2020. gada 2. septembra
noteikumiem Nr. 561
| Diena, mēnesis, gads, tirdzniecības intervāls1 | Pārdotās elektroenerģijas apjoms2 (MWh) | Elektroenerģijas biržas spot cena3 (euro/MWh) | Koģenerācijas mainīgās izmaksas4 (euro/MWh) |
Papildus ieņēmumu aprēķins5 (euro) [(3) - (4)] x (2) |
| 1 | 2 | 3 | 4 | 5 |
|
dd.mm.gggg. 00:00 |
||||
| […] | ||||
| Kopā dienā | ||||
| […] | ||||
| Jaudas komponentes korekcija mēnesī (euro) |
1 Iesniedz, sākot ar tirdzniecības intervālu, kurā koģenerācijas stacijas saražotās un tirgotājam pārdotās elektroenerģijas apjoms pārsniedz lielumu, ko aprēķina, izmantojot šādu formulu:
P × 1200 , kur
P - koģenerācijas stacijā uzstādītā elektriskā jauda (MW).
Vienā siltumapgādes sistēmas operatora licences zonā esošām vienam komersantam piederošām koģenerācijas stacijām, kas pieslēgtas elektroenerģijas pārvades sistēmai, pārdotās elektroenerģijas apjomu, pēc kura sasniegšanas jāsāk veikt jaudas komponentes korekcijas aprēķins, nosaka summāri, reizinot koģenerācijas staciju kopējo uzstādīto elektrisko jaudu ar 1200 stundām. Elektroenerģijas apjoma uzskaiti uzsāk katra gada 1. novembrī.
2 Apjomu norāda MWh ar precizitāti trīs zīmes aiz komata.
3 Tirdzniecības intervāla elektroenerģijas biržas spot cenu nosaka saskaņā ar Nord Pool AS biržas Latvijas cenu apgabala spot cenu euro /MWh ar precizitāti divas zīmes aiz komata.
4 Koģenerācijas mainīgās izmaksas (euro /MWh) ar precizitāti divas zīmes aiz komata aprēķina, izmantojot šādu formulu:
Tg - koģenerācijas stacijā par kurināmo izmantotās dabasgāzes faktiskā gala cena bez PVN un dabasgāzes akcīzes nodokļa (euro /MWh);
Ta - dabasgāzes akcīzes nodoklis (euro /MWh), ja tāds koģenerācijas stacijai tiek piemērots;
CO2 - Intercontinental Exchange (ICE) biržā noteiktā European Emission Allowances (EUA) cena (euro /t).
5 Papildu ieņēmumus (euro) ar precizitāti divas zīmes aiz komata aprēķina, no elektroenerģijas biržas cenas (3. aile) atņemot koģenerācijas mainīgās izmaksas (4. aile) un rezultātu reizinot ar pārdotās enerģijas apjomiem (2. aile).
6 Jaudas komponentes korekciju aprēķina, reizinot mēneša kopējo papildu ieņēmumu summu (5. aile) ar koeficientu 0,75. Ja jaudas komponentes korekcija ir negatīvs skaitlis, to pieņem vienādu ar nulli."
4. pielikums
Ministru kabineta
2025. gada 4. novembra
noteikumiem Nr. 649
"8. pielikums
Ministru kabineta
2020. gada 2. septembra
noteikumiem Nr. 561
I. Koģenerācijas stacijas kopējo kapitālieguldījumu iekšējās peļņas normas aprēķina gaita
1. Iekšējā peļņas norma ir diskonta likmes vērtība, pie kuras pašreizējā diskontētās naudas plūsmas vērtība ir vienāda ar sākotnēji ieguldītā kapitāla vērtību. Iekšējā peļņas norma tiek aprēķināta uz pēdējo gadu, kad ražotājs var izmantot tiesības, kas piešķirtas saskaņā ar Elektroenerģijas tirgus likuma 28. vai 28.1 pantu. Iekšējo peļņas normu aprēķina, ņemot vērā koģenerācijas stacijas vienotā tehnoloģiskā cikla principu:
1.1. iekšējās peļņas normas aprēķinam izmanto datus par koģenerācijas stacijā veiktajām investīcijām, faktisko ieņēmumu un izdevumu datus un ekspluatācijas izmaksu līmeņatzīmes. Ja komersants nevar iesniegt kādu no koģenerācijas stacijas faktisko ieņēmumu vai izdevumu datiem, tad iekšējās peļņas normas aprēķinam norēķinu periodam, kas nav mazāks par vienu mēnesi, izmanto pielikumā noteiktās līmeņatzīmes;
1.2. aprēķinam nepieciešamos datus par elektroenerģijas apjomu un cenu, kas iepirkta obligātā iepirkuma ietvaros, dienests pieprasa publiskajam tirgotājam.
2. Iekšējo peļņas normu aprēķina ar pakāpeniskām iterācijām, izmantojot šādu formulu:
| , kur |
TNPt - tīrā naudas plūsma jeb naudas plūsma (euro), kas paliek komersanta rīcībā pēc visu ražošanas izdevumu segšanas, kalendāra gadā t;
r - iekšējā peļņas norma (%);
t - kalendāra gads, par kuru tiek veikts aprēķins;
t0 - kalendāra gads, kad komersants ir sācis izmantot valsts atbalstu;
n - kalendāra gads, kad komersanta tiesībām, kas piešķirtas saskaņā ar Elektroenerģijas tirgus likuma 28. vai 28.1 pantu, beidzas izmantošanas laiks;
Istac - komersanta koģenerācijas stacijā veikto investīciju faktiskās vērtības (euro) atbilstoši iesniegtajai pamatojošajai dokumentācijai;
Ipiesl - komersanta elektrostacijas elektroenerģijas pieslēguma faktiskās izmaksas (euro) elektroenerģijas tīklam atbilstoši iesniegtajai pamatojošajai dokumentācijai;
Dt0 - līdz kalendāra gadam t0 (neieskaitot) par komersanta koģenerācijas staciju piešķirtais un faktiski saņemtais publiskais finansējums (euro), tai skaitā maksājumi no valsts vai pašvaldības budžeta, kredītu procentu likmju subsidēšana, kā arī cita finanšu palīdzība, kas tiek piešķirta vai sniegta no valsts, pašvaldības vai Eiropas Savienības budžeta līdzekļiem un ārvalstu finanšu palīdzības līdzekļiem.
3. Ja komersants investīcijas koģenerācijas stacijā ir veicis, pirms ir pieņemts lēmums par tiesību piešķiršanu saskaņā ar Elektroenerģijas tirgus likuma 28. vai 28.1 pantu, investīcijas koģenerācijas stacijā var noteikt saskaņā ar līmeņatzīmēm:
I0 = Pel t0 × Iīp × 1000, kur
Pel t0 - koģenerācijas stacijas uzstādītā elektriskā jauda (MW), kas norādīta līgumā ar publisko tirgotāju, kalendāra gadā t0;
Iīp - īpatnējo investīciju līmeņatzīmes (euro/kW) saskaņā ar šā pielikuma 1. tabulu.
4. Tīro naudas plūsmu kalendāra gadā t aprēķina, izmantojot šādu formulu:
| , kur |
- tīrā naudas plūsma jeb naudas plūsma
(euro), kas paliek komersanta rīcībā pēc visu ražošanas
izdevumu segšanas, kalendāra gada t kalendāra mēnesī
i;
Ipap_t - koģenerācijas stacijā veikto papildu investīciju faktiskās vērtības (euro), lai atbilstoši ražošanas tehnoloģijai un vienotā tehnoloģiskā cikla principam nodrošinātu koģenerācijas stacijas tehnoloģiskās funkcijas vai lai palielinātu koģenerācijas stacijas elektrisko jaudu, kalendāra gadā t;
Dt - kalendāra gadā t par komersanta koģenerācijas staciju piešķirtais un faktiski saņemtais publiskais finansējums (euro), tai skaitā maksājumi no valsts vai pašvaldības budžeta, kredītu procentu likmju subsidēšana, kā arī cita finanšu palīdzība, kas tiek piešķirta vai sniegta no valsts, pašvaldības vai Eiropas Savienības budžeta līdzekļiem un ārvalstu finanšu palīdzības līdzekļiem.
5. Tīro naudas plūsmu kalendāra gada t kalendāra mēnesī i aprēķina, izmantojot šādu formulu:
| , kur |
-
koģenerācijas stacijas ieņēmumi (euro) kalendāra gada
t kalendāra mēnesī i;
-
koģenerācijas stacijas izdevumi (euro) kalendāra gada
t kalendāra mēnesī i.
6. Koģenerācijas stacijas ieņēmumus kalendāra gada t
kalendāra mēnesī i aprēķina, izmantojot faktiskos datus vai
līmeņatzīmes:
6.1. koģenerācijas stacijas ieņēmumi (euro) kalendāra
gada t kalendāra mēnesī i , aprēķinam
izmantojot faktiskos datus:
| , kur |
- no komersanta koģenerācijas stacijas obligātā
iepirkuma ietvaros iepirktais elektroenerģijas apjoms (MWh)
kalendāra gada t kalendāra mēnesī i. Nākotnes
periodiem mēnesī no komersanta elektrostacijas obligātā iepirkuma
ietvaros iepirkto elektroenerģijas apjomu aprēķina kā pēdējo
triju pilnu kalendāra gadu vidējo mēnesī obligātā iepirkuma
ietvaros iepirkto elektroenerģijas apjomu, bet nepārsniedzot
maksimāli atļauto obligātā iepirkuma ietvaros iepērkamās
elektroenerģijas apjomu;
-
komersanta koģenerācijas stacijai piemērotā elektroenerģijas
iepirkuma cena (euro/MWh) kalendāra gada t
kalendāra mēnesī i. Dabasgāzes koģenerācijas stacijās
saražotās elektroenerģijas iepirkuma cenas aprēķinam nepieciešamo
dabasgāzes tirdzniecības cenu nākotnes periodam nosaka kā pēdējā
pilnā kalendāra gada vidējo dabasgāzes tirdzniecības cenu;
-
faktiskais ieturētais subsidētās elektroenerģijas nodoklis
(euro) kalendāra gada t kalendāra mēnesī
i;
-
komersanta ieņēmumi (euro) no koģenerācijas stacijā
saražotās un pārdotās elektroenerģijas, kas nav pārdota obligātā
iepirkuma ietvaros, kalendāra gada t kalendāra mēnesī
i. Ieņēmumu aprēķinam nākotnes periodā elektroenerģijas
cenu nosaka kā pēdējo triju pilnu kalendāra gadu vidējo mēnesī
ārpus obligātā iepirkuma pārdotās elektroenerģijas cenu, bet
elektroenerģijas apjomu aprēķina kā pēdējo triju pilnu kalendāra
gadu vidējo mēnesī ārpus obligātā iepirkuma pārdoto
elektroenerģijas apjomu;
-
siltumenerģijas pārdošanas cena vai Sabiedrisko pakalpojumu
regulēšanas komisijas noteiktais siltumenerģijas ražošanas tarifs
(euro/MWh) atbilstoši iesniegtajai pamatojošajai
dokumentācijai kalendāra gada t kalendāra mēnesī
i. Nākotnes periodiem siltumenerģijas cenu nosaka kā
pēdējā pilnā kalendāra gada vidējo mēneša siltumenerģijas
cenu;
-
koģenerācijas stacijā saražotais lietderīgās siltumenerģijas
apjoms (MWh) kalendāra gada t kalendāra mēnesī
i. Nākotnes periodiem mēnesī saražotās lietderīgās
siltumenerģijas apjomu aprēķina kā pēdējo triju pilnu kalendāra
gadu vidējo mēnesī saražoto lietderīgās siltumenerģijas
apjomu;
6.2. koģenerācijas stacijas ieņēmumi (euro) kalendāra
gada t kalendāra mēnesī i , aprēķinam
izmantojot līmeņatzīmes:
| , kur |
- siltumenerģijas ražošanas tarifs
(euro/MWh) saskaņā ar šā pielikuma 8. tabulu kalendāra
gada t kalendāra mēnesī i. Nākotnes periodiem
siltumenerģijas ražošanas tarifu nosaka kā pēdējā pilnā kalendāra
gada vidējo mēneša siltumenerģijas ražošanas tarifu;
-
koģenerācijas stacijā uzstādītā neto siltuma jauda (MW) kalendāra
gada t kalendāra mēnesī i;
-
komersanta koģenerācijas stacijas darba stundas (h) kalendāra
gada t kalendāra mēnesī;
-
koģenerācijas stacijā pašpatēriņam izmantotā siltumenerģija
kalendāra gada t kalendāra mēnesī i.
Pašpatēriņam izmantotais siltumenerģijas apjoms stacijām, kas
darbojas ar poligongāzi, un biogāzes stacijām, kuras biogāzes
ražošanai izmanto fermenterus, ir 30 %, bet pārējām koģenerācijas
stacijām ir 0;
6.3. koģenerācijas stacijas, kura saņem garantēto maksu par
koģenerācijas stacijā uzstādīto elektrisko jaudu, faktiskie
ieņēmumi (euro) kalendāra gada t kalendāra
mēnesī i ,
aprēķinam izmantojot faktiskos datus:
| , kur |
-
garantētā maksa (euro) par koģenerācijas stacijā
uzstādīto elektrisko jaudu kalendāra gada t kalendāra
mēnesī i;
6.4. koģenerācijas stacijas, kura saņem garantēto maksu par
koģenerācijas stacijā uzstādīto elektrisko jaudu, ieņēmumi
(euro) kalendāra gada t kalendāra mēnesī
i , aprēķinam
izmantojot līmeņatzīmes:
| , kur |
-
elektroenerģijas vairumtirdzniecības cena (euro/MWh)
atbilstoši šā pielikuma 7. tabulai. Koģenerācijas stacijām, par
kurām tiek maksāta garantētā maksa par koģenerācijas stacijā
uzstādīto elektrisko jaudu, elektroenerģijas cenu nākotnes
periodam nosaka kā pēdējā pilnā kalendāra gada vidējo cenu;
-
elektrostacijas uzstādītā elektriskā jauda (MW), kas norādīta
līgumā ar publisko tirgotāju.
7. Kalendāra gada t kalendāra mēnesī i
koģenerācijas stacijas uzstādīto neto siltuma jaudu
aprēķina, izmantojot šādu formulu:
| , kur |
-
koģenerācijas stacijas uzstādītā siltuma jauda, kas atbilst
stacijā uzstādīto koģenerācijas iekārtu izgatavotāja noteikto
bruto siltumjaudu summai (MW).
8. Koģenerācijas stacijas darba stundas kalendāra gada t kalendāra mēnesī i aprēķina, izmantojot šādu formulu:
9. Koģenerācijas stacijas izdevumus (euro) kalendāra
gada t kalendāra mēnesī i aprēķina,
izmantojot faktiskos datus vai līmeņatzīmes:
9.1. biomasas staciju izdevumi (euro) kalendāra gada
t kalendāra mēnesī i , aprēķinam
izmantojot faktiskos datus:
| , kur |
-
patērētā kurināmā apjoms (MWh), kas nepieciešams komersanta
koģenerācijas stacijas darbības nodrošināšanai, kalendāra gada
t kalendāra mēnesī i. Nākotnes periodiem mēnesī
patērētā kurināmā apjomu aprēķina kā pēdējo triju pilnu kalendāra
gadu vidējo mēnesī patērētā kurināmā apjomu koģenerācijas
stacijā;
-
kurināmā faktiskā cena (euro/MWh) atbilstoši
iesniegtajai pamatojošajai dokumentācijai. Nākotnes periodiem
kurināmā cenu nosaka kā pēdējā pilnā kalendāra gada vidējo mēneša
kurināmā cenu;
I kop - koģenerācijas stacijā veikto kopējo faktisko investīciju apjoms (euro);
0,11 - koeficients, kas raksturo koģenerācijas stacijas ekspluatācijas izmaksu īpatsvaru veiktajās investīcijās, noteikts šā pielikuma 2. tabulā;
Nt - elektroenerģijas ražošanai piešķirtā valsts atbalsta izlietošanas uzraudzības nodeva un valsts nodeva par sabiedrisko pakalpojumu regulēšanu kalendāra gadā t (euro). Nākotnes periodu aprēķiniem nodevas apmēru pieņem tādu, kāds tas ir bijis pēdējā pilnā kalendāra gadā;
-
jaudas maksa elektroenerģijas ražotājiem, kas noteikta atbilstoši
uzstādītajai elektroenerģijas ražošanas jaudai un saskaņā ar
Sabiedrisko pakalpojumu regulēšanas komisijas noteikto tarifu,
kalendāra gada t kalendāra mēnesī i
(euro). Nākotnes periodu aprēķiniem jaudas maksas apmēru
pieņem tādu, kāds tas ir bijis pēdējā pilnā kalendāra gadā;
9.2. biomasas staciju izdevumi (euro) kalendāra gada
t kalendāra mēnesī i , aprēķinam
izmantojot līmeņatzīmes:
| , kur |
-
aprēķinātais patērētā kurināmā apjoms (MWh), kas nepieciešams
komersanta koģenerācijas stacijas darbības nodrošināšanai
kalendāra gada t kalendāra mēnesī i. Nākotnes
periodiem mēnesī patērētā kurināmā apjomu aprēķina kā pēdējo
triju pilnu kalendāra gadu vidējo mēnesī patērētā kurināmā apjomu
koģenerācijas stacijā;
-
biomasas kurināmā cenas līmeņatzīme (euro/MWh), kas
noteikta šā pielikuma 6. tabulā, kalendāra gada t
kalendāra mēnesī i. Nākotnes periodiem kurināmā cenu
nosaka kā pēdējā pilnā kalendāra gada vidējo mēneša kurināmā
cenu;
9.3. biogāzes staciju izdevumi (euro) kalendāra gada
t kalendāra mēnesī i , aprēķinam
izmantojot faktiskos datus:
| , kur |
Lbiog - biogāzes koģenerācijas stacijas ekspluatācijas izmaksu līmeņatzīme, kas noteikta šā pielikuma 3. tabulā atkarībā no gada un organiskas izcelsmes atkritumu un ražošanas atlikumproduktu īpatsvara kopējā izejvielu apjomā. Aprēķinos izmanto zemāko šā pielikuma 3. tabulā norādīto ekspluatācijas izmaksu līmeņatzīmi dotajā aprēķinu periodā. Ja komersants, iesniedzot pamatojošo dokumentāciju, pierāda lielāku organiskas izcelsmes atkritumu un ražošanas atlikumproduktu īpatsvaru kopējā izejvielu apjomā, aprēķinos izmanto augstāku atbilstošo šā pielikuma 3. tabulā norādīto līmeņatzīmi.
Nākotnes periodam izmanto zemāko šā pielikuma 3. tabulā norādīto ekspluatācijas izmaksu līmeņatzīmi dotajā aprēķinu periodā. Ja komersants, iesniedzot pamatojošo dokumentāciju, pierāda, ka pēdējo triju pilnu kalendāra gadu vidējais organiskas izcelsmes atkritumu un ražošanas atlikumproduktu īpatsvars kopējā izejvielu apjomā pārsniedz noteikto minimālo organiskas izcelsmes atkritumu un ražošanas atlikumproduktu īpatsvaru kopējā izejvielu apjomā, tad nākotnes periodam organiskās izcelsmes atkritumu apjomu nosaka kā pēdējo triju pilnu kalendāra gadu vidējo organiskas izcelsmes atkritumu apjomu kalendāra mēnesī un aprēķinos izmanto augstāku atbilstošo šā pielikuma 3. tabulā norādīto līmeņatzīmi;
9.4. biogāzes staciju izdevumi (euro) kalendāra gada
t kalendāra mēnesī i , aprēķinam
izmantojot līmeņatzīmes:
| , kur |
-
biogāzes un poligongāzes kurināmā cenas līmeņatzīme
(euro/MWh), kas noteikta šā pielikuma 4. un 5. tabulā,
kalendāra gada t kalendāra mēnesī i. Nākotnes
periodiem kurināmā cenu nosaka kā pēdējā pilnā kalendāra gada
vidējo mēneša kurināmā cenu;
9.5. dabasgāzes staciju izdevumi (euro) kalendāra
gada t kalendāra mēnesī i , aprēķinam
izmantojot faktiskos datus:
| , kur |
-
oglekļa dioksīda emisijas kvotu cena (euro/t) atbilstoši
iesniegtajai pamatojošajai dokumentācijai. Nākotnes periodiem
cenu pamato ar finanšu kontraktu cenu kotācijām. Ja kurināmā
sadedzināšanas jauda ir 20 MW vai mazāka,
vērtība ir 0;
0,05 - koeficients, kas raksturo koģenerācijas stacijas ekspluatācijas izmaksu īpatsvaru veiktajās investīcijās, noteikts šā pielikuma 2. tabulā;
9.6. dabasgāzes staciju izdevumi (euro) kalendāra
gada t kalendāra mēnesī i , aprēķinam
izmantojot līmeņatzīmes:
| , kur |
-
dabasgāzes kurināmā cenas līmeņatzīme (euro/MWh), kas
noteikta šā pielikuma 9. tabulā, kalendāra gada t
kalendāra mēnesī i. Nākotnes periodiem kurināmā cenu
nosaka kā pēdējā pilnā kalendāra gada vidējo mēneša kurināmā
cenu.
10. Aprēķināto patērētā kurināmā apjomu kalendāra gada
t kalendāra mēnesī i
nosaka, izmantojot šādu formulu:
| , kur |
-
pašpatēriņam izlietotā saražotā elektroenerģija (MWh), kas
nosakāma kā iepriekšējo triju gadu vidējais rādītājs starpībai
starp gadā saražoto un tīklā nodoto elektroenerģiju;
ηkoģ - koģenerācijas iekārtas lietderības koeficients, kas raksturo koģenerācijas stacijas vidējo efektivitāti. Iekārtas lietderības koeficients ir norādīts iekārtas tehniskajā dokumentācijā. Ja tāda nav pieejama, lietderības koeficientu dabasgāzes koģenerācijas stacijām nosaka 90 % un biomasas un biogāzes koģenerācijas stacijām 80 %.
11. Koģenerācijas stacijā veikto kopējo faktisko investīciju apjomu aprēķina, izmantojot šādu formulu:
Ikop = Istac + Ipap , kur
Ipap - komersanta koģenerācijas stacijā papildus veikto faktisko investīciju apjoms, tai skaitā kapitalizētu remontu izmaksas (euro).
12. Aprēķinā, kas veikts saskaņā ar šo pielikumu, vērtības naudas izteiksmē noapaļo līdz tuvākajam centam, ņemot vērā trešo zīmi aiz komata. Ja trešā zīme aiz komata ir no 0 līdz 4, centa vērtība nemainās. Ja trešā zīme aiz komata ir no 5 līdz 9, centu noapaļo par vienu vienību uz augšu.
II. Līmeņatzīmes koģenerācijas stacijas kopējo kapitālieguldījumu iekšējās peļņas normas aprēķinam
1. tabula
Koģenerācijas staciju īpatnējo investīciju Iīp (euro/kWel) līmeņatzīmes
| Uzstādītā elektriskā jauda Pel | Biogāzes stacijas | Biomasas un biomasas gazifikācijas stacijas | Dabasgāzes stacijas |
| Nepārsniedz 0,5 MW | 4000 | 4500 | 1600 |
| Lielāka par 0,5 MW, bet nepārsniedz 1 MW | 3800 | 4500 | 1600 |
| Lielāka par 1 MW, bet nepārsniedz 2 MW | 3800 | 4000 | 1300 |
| Lielāka par 2 MW, bet nepārsniedz 4 MW | 3300 | 4000 | 1100 |
| Lielāka par 4 MW | 3300 | 3600 | - |
2. tabula
Koģenerācijas stacijas ekspluatācijas izmaksu līmeņatzīmes
| Tehnoloģija | Līmeņatzīmes |
| Biomasas stacijas | 11 % no koģenerācijas stacijā veiktajām investīcijām, gadā |
| Dabasgāzes stacijas | 5 % no koģenerācijas stacijā veiktajām investīcijām, gadā |
3. tabula
Biogāzes koģenerācijas staciju ekspluatācijas izmaksu līmeņatzīme
| |
Līdz 2022. gadam |
2022.-2025. gads |
2026.-2029. gads |
No 2030. gada |
Ekspluatācijas izmaksas, %
no elektrostacijā veiktajām investīcijām (gadā) |
| Organiskas
izcelsmes atkritumu un ražošanas atlikumproduktu īpatsvars
pret kopējo patērēto izejvielu apjomu biogāzes ražošanā
(%) |
mazāk par 50 % |
vismaz 40 %, bet mazāk par
50 % |
- |
- |
6 % |
| vismaz 50 %, bet
mazāk par 70 % |
vismaz 60 %, bet mazāk par
70 % |
- |
9 % |
||
| vismaz 70 %, bet
mazāk par 80 % |
vismaz 80 %, bet mazāk par
90 % |
12 % |
|||
| vismaz 80
% |
vismaz 90 % |
13 % |
|||
4. tabula
Biogāzes stacijām (izņemot stacijas, kurās izmanto biomasas gazifikāciju vai poligongāzes) piemērojamās kurināmā cenas līmeņatzīmes
| Uzstādītā elektriskā jauda Pel | Kurināmā cena bez PVN Ckur (euro/MWh) | ||||||||
| 2008. | 2009. | 2010. | 2011. | 2012. | 2013. | 2014. | 2015. | 2016. | |
| Nepārsniedz 0,5 MW | 51,08 | 40,51 | 30,98 | 35,47 | 42,39 | 43,65 | 46,31 | 48,14 | 51,83 |
| Lielāka par 0,5 MW, bet nepārsniedz 1 MW | 48,11 | 38,15 | 29,19 | 33,41 | 39,93 | 41,12 | 43,62 | 45,35 | 48,82 |
| Lielāka par 1 MW | 46,15 | 36,60 | 27,99 | 32,05 | 38,30 | 39,44 | 41,84 | 43,49 | 46,83 |
| 2017. | 2018. | 2019. | 2020. | 2021. | 2022. | ||||
| Nepārsniedz 0,5 MW | 52,38 | 50,98 | 48,00 | 53,28 | 52,47 | 51,65 | |||
| Lielāka par 0,5 MW, bet nepārsniedz 1 MW | 49,34 | 48,02 | 45,21 | 49,93 | 49,16 | 48,40 | |||
| Lielāka par 1 MW | 47,32 | 46,06 | 43,37 | 49,93 | 49,16 | 48,40 | |||
5. tabula
Poligongāzes cenas līmeņatzīmes
| Uzstādītā elektriskā jauda Pel | Kurināmā cena bez PVN Ckur (euro/MWh) |
| visi gadi | |
| Visas jaudas | 10 |
6. tabula
Biomasas un biomasas gazifikācijas stacijām piemērojamās kurināmā cenas līmeņatzīmes
| Kurināmā cena bez PVN
Ckur (euro/MWh) |
|||||||||
|
1995. |
1996. |
1997. |
1998. |
1999. |
2000. |
2001. |
2002. |
2003. |
2004. |
| 3,73 |
3,67 |
3,59 |
3,77 |
3,94 |
4,22 |
4,61 |
5,16 |
5,67 |
5,99 |
|
2005. |
2006. |
2007. |
2008. |
2009. |
2010. |
2011. |
2012. |
2013. |
2014. |
| 6,31 |
7,37 |
8,6 |
11,06 |
8,6 |
7,37 |
8,6 |
8,6 |
11,06 |
9,83 |
|
2015. |
2016. |
2017. |
2018. |
2019. |
2020. |
2021. |
2022. |
|
|
| 9,83 |
8,6 |
8,6 |
12,29 |
13,07 |
11,02 |
14,49 |
12,73 |
|
|
7. tabula
Elektroenerģijas vairumtirdzniecības cenas (euro/MWhe) no 1995. gada līdz 2020. gadam
| Gads |
Elektroenerģijas vairumtirdzniecības cenas
(euro/MWhe) |
|
Gads |
Elektroenerģijas vairumtirdzniecības cenas
(euro/MWhe) |
|
1995. |
27,03 |
|
2008. |
41,45 |
|
1996. |
35,57 |
|
2009. |
39,70 |
|
1997. |
39,65 |
|
2010. |
42,26 |
|
1998. |
43,08 |
|
2011. |
48,09 |
|
1999. |
43,08 |
|
2012. |
46,67 |
|
2000. |
43,08 |
|
2013. |
50,77 |
|
2001. |
43,08 |
|
2014. |
54,90 |
|
2002. |
43,08 |
|
2015. |
46,12 |
|
2003. |
43,08 |
|
2016. |
39,31 |
|
2004. |
47,15 |
|
2017. |
38,61 |
|
2005. |
48,88 |
|
2018. |
54,97 |
|
2006. |
48,88 |
|
2019. |
51,02 |
|
2007. |
28,75 |
|
2020. |
34,07 |
8. tabula
Siltumenerģijas ražošanas tarifs euro/MWh no 1995. gada līdz 2022. gadam
| Gads | Siltumenerģijas ražošanas tarifs |
Gads | Siltumenerģijas ražošanas tarifs |
|
| 1995. | 11,67 | 2009. | 39,16 | |
| 1996. | 12,12 | 2010. | 38,44 | |
| 1997. | 12,24 | 2011. | 38,44 | |
| 1998. | 12,28 | 2012. | 42,06 | |
| 1999. | 12,33 | 2013. | 39,16 | |
| 2000. | 12,38 | 2014. | 32,63 | |
| 2001. | 12,38 | 2015. | 31,91 | |
| 2002. | 12,38 | 2016. | 26,11 | |
| 2003. | 12,38 | 2017. | 26,11 | |
| 2004. | 12,38 | 2018. | 26,83 | |
| 2005. | 16,51 | 2019. | 24,99 | |
| 2006. | 21,76 | 2020. | 23,28 | |
| 2007. | 26,11 | 2021. | 21,68 | |
| 2008. | 36,99 | 2022. | 20,20 |
Piezīme. * Siltumenerģijas ražošanas tarifu veido siltumenerģijas vidējā cena gala patērētājiem, kas reizināta ar koeficientu 0,7252 (ražošanas tarifa īpatsvars gala tarifā).
9. tabula
Dabasgāzes tirdzniecības cenas līmeņatzīmes, ieskaitot akcīzes nodokli
|
Gads |
1995. |
1996. |
1997. |
1998. |
1999. |
2000. |
2001. |
2002. |
| Gada vidējā
dabasgāzes tirdzniecības cena, euro/MWh (bez
PVN) |
12,19 |
14,34 |
15,59 |
16,26 |
16,60 |
17,04 |
17,47 |
17,81 |
|
Gads |
2003. |
2004. |
2005. |
2006. |
2007. |
2008. |
2009. |
2010. |
| Gada vidējā
dabasgāzes tirdzniecības cena, euro/MWh (bez
PVN) |
18,34 |
19,47 |
20,82 |
22,18 |
24,42 |
36,06 |
37,74 |
39,57 |
|
Gads |
2011. |
2012. |
2013. |
2014. |
2015. |
2016. |
2017. |
2018. |
| Gada vidējā
dabasgāzes tirdzniecības cena, euro/MWh (bez
PVN) |
41,38 |
49,14 |
47,35 |
45,89 |
40,72 |
33,20 |
35,66 |
38,75 |
|
Gads |
2019. |
2020. |
2021. |
2022. |
|
|
|
|
| Prognozētā
gada vidējā dabasgāzes tirdzniecības cena,
euro/MWh (bez PVN) |
37,48 |
27,10 |
24,66 |
23,99 |
"