Ādažu novada pašvaldības domes saistošie noteikumi Nr. 37/2025
Ādažos 2025. gada 23. oktobrī
APSTIPRINĀTI
ar Ādažu novada pašvaldības domes
2025. gada 23. oktobra sēdes lēmumu
(prot. Nr. 25 § 38)
Izdoti saskaņā ar Pašvaldību likuma
10. panta pirmās daļas 1. punktu un 48. pantu,
likuma "Par pašvaldību budžetiem"
16. un 17. pantu
un likuma "Par budžetu un finanšu vadību"
6. pantu
Izdarīt Ādažu novada pašvaldības domes 2025. gada 22. janvāra saistošajos noteikumos Nr. 1/2025 "Par Ādažu novada pašvaldības budžetu 2025. gadam" šādus grozījumus:
1. Izteikt noteikumu 2. punkta 2.3., 2.3.1., 2.3.2., 2.3.3. un 2.3.4. apakšpunktus šādā redakcijā:
2.3. "pamatbudžets 2025. gadā (1. pielikums):
| 2.3.1. ieņēmumi | - EUR 62 835 203; |
| 2.3.2. izdevumi | - EUR 72 276 182; |
| 2.3.3. plānotie aizņēmumi | - EUR 6 668 106; |
| 2.3.4. atmaksājamā summa Valsts kases kredītiem (2. pielikums) | - EUR 3 702 737". |
Ādažu novada pašvaldības domes priekšsēdētāja K. Miķelsone
1. pielikums
Ādažu novada pašvaldības domes 2025. gada 23. oktobra
saistošajiem noteikumiem
Nr. 37/2025 "Grozījumi Ādažu novada pašvaldības domes 2025.
gada 22. janvāra
saistošajos noteikumos Nr. 1/2025 "Par Ādažu novada
pašvaldības budžetu 2025. gadam""
IEŅĒMUMU DAĻA
|
Klasifikācijas kods |
Nr.p.k. |
Sadaļa |
28.08.2025. grozījumi |
23.10.2025. grozījumi |
Izmaiņas |
| 1.-5. | Nodokļu ieņēmumi |
41 763 189 |
41 793 189 |
30 000 |
|
| 1.1.0.0. | 1. | Iedzīvotāju ienākuma nodoklis |
38 486 849 |
38 486 849 |
|
| 1.1. | pārskata gada |
38 486 849 |
38 486 849 |
||
| 2.-4. | Nekustamā īpašuma nodokļu ieņēmumi |
3 211 340 |
3 211 340 |
||
| 4.1.1.0. | 2. | Nekustamā īpašuma nodoklis par zemi |
2 082 625 |
2 082 625 |
|
| 2.1. | pārskata gada |
1 945 625 |
1 945 625 |
||
| 2.2. | iepriekšējo gadu parādi |
137 000 |
137 000 |
||
| 4.1.2.0. | 3. | Nekustamā īpašuma nodoklis par ēkām |
392 228 |
392 228 |
|
| 3.1. | pārskata gada |
362 228 |
362 228 |
||
| 3.2. | iepriekšējo gadu parādi |
30 000 |
30 000 |
||
| 4.1.3.0. | 4. | Nekustamā īpašuma nodoklis par mājokļiem un inženierbūvēm |
736 487 |
736 487 |
|
| 4.1. | pārskata gada |
665 899 |
665 899 |
||
| 4.2. | iepriekšējo gadu parādi |
70 588 |
70 588 |
||
| 5.5.3.0. | 5. | Nodokļi un maksājumi par tiesībām lietot atsevišķas preces |
65 000 |
95 000 |
30 000 |
| 5.1. | Azartspēļu nodoklis |
5 000 |
5 000 |
||
| 5.2. | Dabas resursu nodoklis |
60 000 |
90 000 |
30 000 |
|
| 9.0.0.0. | 6. | Valsts (pašvaldību) un kancelejas nodevas |
144 060 |
144 060 |
|
| 6.1. | valsts nodevas |
6 100 |
6 100 |
||
| 6.1.1. | t.sk.: - par apliecinājumiem un citu funkciju pildīšanu bāriņtiesā |
1 100 |
1 100 |
||
| 6.1.2. | t.sk.: - par civilstāvokļa aktu reģistrēšanu, grozīšanu un papildināšanu |
4 500 |
4 500 |
||
| 6.1.3. | t.sk.: - pārējās valsts nodevas, kuras ieskaita pašvaldību budžetā |
500 |
500 |
||
| 6.2. | pašvaldību nodevas |
137 960 |
137 960 |
||
| 6.2.1. | t.sk.: - nodeva par domes izstrādāto oficiālo dokumentu saņemšanu |
100 |
100 |
||
| 6.2.2. | t.sk.: - nodeva par izklaidējoša rakstura pasākumu sarīkošanu publiskās vietās |
1 860 |
1 860 |
||
| 6.2.3. | t.sk.: - nodeva par tirdzniecību publiskās vietās |
33 000 |
33 000 |
||
| 6.2.4. | t.sk.: - nodeva par reklāmas, afišu un sludinājumu izvietošanu publiskās vietās |
13 000 |
13 000 |
||
| 6.2.5. | t.sk.: - nodeva par būvatļaujas saņemšanu |
85 000 |
85 000 |
||
| 6.2.6. | t.sk.: - pārējās nodevas |
5 000 |
5 000 |
||
| 10.0.0.0. | 7. | Naudas sodi un sankcijas |
130 000 |
130 000 |
|
| 7.1. | Naudas sodi un sankcijas |
90 000 |
90 000 |
||
| 7.2. | Naudas sodi par pārkāpumiem ceļu satiksmē |
40 000 |
40 000 |
||
| 12.0.0.0. | 8. | Pārējie nenodokļu ieņēmumi |
35 728 |
35 728 |
|
| 8.1. | citi nenodokļu ieņēmumi |
25 728 |
25 728 |
||
| 8.2. | līgumsodi un procentu maksājumi par saistību neizpildi |
- |
- |
||
| 8.3. | ieņēmumi no zvejas tiesību nomas |
10 000 |
10 000 |
||
| 13.0.0.0. | 9. | Ieņēmumi no pašvaldības īpašumu pārdošana |
159 278 |
159 278 |
|
| 18.6.0.0. | 10. | Valsts budžeta transferti un projektu finansējums |
18 933 391 |
19 335 619 |
402 228 |
| 10.1. | Valsts budžeta transferti |
10 078 697 |
10 401 710 |
323 013 |
|
| 10.1.1. | dotācija mākslas skolas algām |
718 764 |
833 236 |
114 472 |
|
| 10.1.2. | dotācija sporta skolai |
313 180 |
313 180 |
||
| 10.1.3. | dotācija skolēnu ēdināšanai |
341 692 |
341 692 |
||
| 10.1.4. | dotācija mācību grāmatām |
117 542 |
120 296 |
2 754 |
|
| 10.1.4.1. | t.sk.: - dotācija mācību grāmatām |
117 542 |
120 296 |
2 754 |
|
| 10.1.4.2. | t.sk.: - dotācija digitālajiem mācību līdzekļiem |
- |
- |
||
| 10.1.5. | dotācijas pedagogu algām (vsk., PII) |
7 137 676 |
7 340 502 |
202 826 |
|
| 10.1.5.1. | t.sk.: - piecgadīgo bērnu apmācība |
1 065 868 |
1 045 720 |
-20 148 |
|
| 10.1.5.2. | t.sk.: - skolotāju algām |
5 542 646 |
5 751 505 |
208 859 |
|
| 10.1.5.3. | t.sk.: - interešu izglītība |
529 162 |
543 277 |
14 115 |
|
| 10.1.6. | dotācija māksliniecisko kolektīvu vadītāju atalgojumam |
26 360 |
26 360 |
||
| 10.1.7. | Projekts "Skolas soma" Ādaži |
37 535 |
37 756 |
221 |
|
| 10.1.8. | Projekts "Skolas soma" Carnikava |
11 142 |
13 882 |
2 740 |
|
| 10.1.9. | dotācija asistenta pakalpojumu nodrošināšanai |
580 000 |
580 000 |
||
| 10.1.10. | valsts dotācija ceļu uzturēšanai |
406 576 |
406 576 |
||
| 10.1.11. | dotācijas Ukrainas pilsoņu atbalstam |
70 000 |
70 000 |
||
| 10.1.12. | dotācijas nodarbinātības pasākumiem |
12 607 |
12 607 |
||
| 10.1.13. | EKII |
38 052 |
38 052 |
||
| 10.1.14. | pārējās dotācijas |
267 571 |
267 571 |
||
| 18.6.3.0. | 10.2. | ES struktūrfondu līdzekļi un aktivitāšu līdzfinansējumi |
7 902 425 |
7 981 640 |
79 215 |
| 10.2.1. | Projekts "Infrastruktūras uzlabošana uzņēmējdarbības attīstībai Ādažos" |
638 646 |
638 646 |
||
| 10.2.2. | Publiskās ārtelpas izveide Gaujas ielā 31 Ādažos |
103 070 |
103 070 |
||
| 10.2.3. | ES Kohēzijas fonda projekts "STEM un pilsoniskās līdzdalības norises plašākai izglītības pieredzei un karjeras izvēlei" |
73 815 |
73 815 |
||
| 10.2.4. | LIFE NewBauhaus projekts |
267 455 |
267 455 |
||
| 10.2.5. | Jaunais plūdu projekts - 2.1.3.2. "Nacionālas nozīmes plūdu un krasta erozijas pasākumi" 1. daļa |
217 332 |
217 332 |
||
| 10.2.6. | Krastupes ielas projekts |
308 659 |
308 659 |
||
| 10.2.7. | EKII |
- |
- |
||
| 10.2.8. | Jaunas pirmsskolas izglītības iestādes Podniekos būvniecība |
2 500 000 |
2 500 000 |
||
| 10.2.9. | Projekts "Digitālā darba ar jaunatni sistēmas attīstība pašvaldībās" |
30 428 |
30 428 |
||
| 10.2.10. | "Mobilitātes punkta infrastruktūras izveidošana Rīgas metropoles areālā - "Carnikava"" |
830 550 |
830 550 |
||
| 10.2.11. | Maģistrālā veloceļa izbūve Rīga-Carnikava |
2 661 252 |
2 661 252 |
||
| 10.2.12. | "Blusu" kroga pārbūves tehniskā projekta izstrāde |
333 333 |
333 333 |
||
| 10.2.13. | LEADER projektu realizācija |
11 700 |
17 100 |
5 400 |
|
| 10.3. | IIN budžeta dotācija |
952 269 |
952 269 |
||
| 19.2.0.0. | 11. | Pašvaldību budžeta transferti |
350 000 |
350 000 |
|
| 11.1. | no citām pašvaldībām izglītības funkciju nodrošināšanai |
350 000 |
350 000 |
||
| 21.0.0.0. | 12. | Budžeta iestāžu ieņēmumi |
811 955 |
887 329 |
75 374 |
| 12.1. | maksa par izglītības pakalpojumiem |
219 800 |
219 800 |
||
| 12.1.1. | ieņēmumi no vecāku maksām (PII) |
61 000 |
61 000 |
||
| 12.1.2. | ieņēmumi no vecāku maksām (ĀNMS, BJSS) |
158 800 |
158 800 |
||
| 12.2. | pārrobežu projektu ieņēmumi |
60 812 |
136 186 |
75 374 |
|
| 12.2.1. | ERASMUS + projekti |
60 812 |
136 186 |
75 374 |
|
| 12.2.2. | citi pārrobežu projektu ieņēmumi |
- |
- |
||
| 12.3. | ieņēmumi par nomu un īri |
332 370 |
332 370 |
||
| 12.3.1. | ieņēmumi par telpu nomu |
236 370 |
236 370 |
||
| 12.3.2. | ieņēmumi par zemes nomu |
96 000 |
96 000 |
||
| 12.3.3. | pārējie ieņēmumi par nomu |
- |
- |
||
| 12.4. | budžeta iestāžu maksas pakalpojumi |
98 350 |
98 350 |
||
| 12.4.1. | budžeta iestāžu maksas pakalpojumi |
98 350 |
98 350 |
||
| 12.4.2. | ieņēmumi no biļešu realizācijas |
- |
- |
||
| 12.5. | pārējie ieņēmumi/stāvvietu ieņēmumi |
100 623 |
100 623 |
||
|
KOPĀ IEŅĒMUMI: |
62 327 601 |
62 835 203 |
507 602 |
||
| F21010000 AS | 13. | Naudas līdzekļu atlikums gada sākumā |
6 694 243 |
6 694 243 |
|
| 13.1. | Naudas atlikums iezīmētiem mērķiem |
1 040 957 |
1 040 957 |
||
| 13.2. | Naudas atlikums pašvaldības līdzekļi |
5 653 286 |
5 653 286 |
||
| F40020010 | 14. | Valsts Kases kredīti |
6 668 106 |
6 668 106 |
|
| 14.1. | Aizņēmums skolas ielas rekonstrukcijai |
85 000 |
85 000 |
||
| 14.2. | Jaunas pirmsskolas izglītības iestādes Podniekos būvniecība |
3 100 179 |
3 100 179 |
||
| 14.3. | Āra lifta izbūve pie A korpusa |
85 000 |
85 000 |
||
| 14.4. | Ādažu vidusskolas D korpusa siltināšana |
255 000 |
255 000 |
||
| 14.5. | Ādažu vidusskolas ēkas A korpusa, savienojuma daļas starp korpusiem (A un B), kā arī, vidusskolas centrālās daļas, tai skaitā torņa fasādes atjaunošana. |
474 147 |
474 147 |
||
| 14.6. | Dzirnupes ielas tilta pārbūve I kārta |
510 000 |
510 000 |
||
| 14.7. | Projekts "Infrastruktūras uzlabošana uzņēmējdarbības attīstībai Ādažos" |
295 238 |
295 238 |
||
| 14.8. | Krastupes ielas projekts |
70 622 |
70 622 |
||
| 14.9. | "Mobilitātes punkta infrastruktūras izveidošana Rīgas metropoles areālā - "Carnikava"" |
183 524 |
183 524 |
||
| 14.10. | Maģistrālā veloceļa izbūve Rīga-Carnikava |
1 609 396 |
1 609 396 |
||
|
KOPĀ PIEEJAMAIS FINANSĒJUMS: |
75 689 950 |
76 197 552 |
507 602 |
||
IZDEVUMU DAĻA
|
Klasifikācijas kods |
Nr.p.k. |
Sadaļa |
28.08.2025. grozījumi |
23.10.2025. grozījumi |
Izmaiņas |
| 01.000 | 1. | Vispārējie valdības dienesti |
12 225 212 |
12 225 212 |
|
| 1.1. | pārvalde |
2 119 494 |
2 119 494 |
||
| 1.2. | deputāti |
377 185 |
377 185 |
||
| 1.3. | administratīvā komisija |
62 822 |
62 822 |
||
| 1.4. | iepirkumu komisija |
45 177 |
45 177 |
||
| 1.5. | vēlēšanu komisija |
88 097 |
88 097 |
||
| 1.6. | pārējās komisijas |
33 489 |
33 489 |
||
| 1.7. | aizņēmumu procentu maksājumi |
2 052 431 |
2 052 431 |
||
| 1.8. | Iemaksas PFIF |
6 917 724 |
6 917 724 |
||
| 1.9. | Informācijas tehnoloģiju nodaļa, vispārējas nozīmes dienestu darbība un pakalpojumi - datortīkla uzturēšana |
528 793 |
528 793 |
||
| 03.000 | 2. | Sabiedriskā kārtība un drošība |
1 122 076 |
1 122 076 |
|
| 04.000 | 3. | Ekonomiskā darbība |
646 058 |
646 058 |
|
| 3.1. | Sabiedriskās attiecības, laikraksts |
200 531 |
200 531 |
||
| 3.2. | Autoceļu fonds |
445 527 |
445 527 |
||
| 05.000 | 4. | Vides aizsardzība |
225 687 |
255 687 |
30 000 |
| 4.1. | Dabas resursu nodokļa izlietojums |
225 687 |
255 687 |
30 000 |
|
| 06.000 | 5. | Pašvaldības teritoriju un mājokļu apsaimniekošana |
18 058 075 |
18 072 875 |
14 800 |
| 5.1. | Izdevumi neparedzētiem gadījumiem |
70 000 |
70 000 |
||
| 5.2. | Līdzdalības budžets |
52 568 |
52 568 |
||
| 5.3. | Būvvalde |
333 393 |
333 393 |
||
| 5.4. | Teritorijas plānošanas nodaļa |
334 779 |
334 779 |
||
| 5.5. | Attīstības un projektu nodaļa |
8 499 555 |
8 499 555 |
||
| 5.5.1. | nodaļa |
560 409 |
562 673 |
2 264 |
|
| 5.5.2. | Projekts "Sabiedrība ar dvēseli" |
40 000 |
40 000 |
||
| 5.5.3. | Iedzīvotāju iniciatīvas un konkursi. |
14 400 |
14 400 |
||
| 5.5.4. | TEP "Atjaunojamo energoresursu izmantošana Ādažu novadā" (EUCF) |
49 346 |
38 413 |
-10 933 |
|
| 5.5.5. | "Mobilitātes punkta infrastruktūras izveidošana Rīgas metropoles areālā - "Carnikava"" |
1 045 546 |
1 045 546 |
||
| 5.5.6. | Maģistrālā veloceļa izbūve Rīga-Carnikava |
4 425 220 |
4 425 220 |
||
| 5.5.7. | "Upesceļi II/Ūdenstūrisma pieejamības veicināšana (RiverwaysII/Facilitating access to watertourism activities)". |
34 550 |
34 550 |
||
| 5.5.8. | Projekts "Infrastruktūras uzlabošana uzņēmējdarbības attīstībai Ādažos" |
950 824 |
950 824 |
||
| 5.5.9. | Publiskās ārtelpas izveide Gaujas ielā 31 Ādažos |
138 477 |
138 477 |
||
| 5.5.10. | Projekts jauniešu asociāciju federācija Eiropas mobilitātei. CERV programmas projekts "YOUTth and democracy: empowering Europe's next generation" |
3 200 |
936 |
-2 264 |
|
| 5.5.11. | LIFE NewBauhaus projekts |
434 122 |
445 055 |
10 933 |
|
| 5.5.12. | "Blusu" kroga pārbūves tehniskā projekta izstrāde. |
416 333 |
416 333 |
||
| 5.5.13. | Krastupes ielas projekts |
387 128 |
387 128 |
||
| 5.6. | Objektu un teritorijas apsaimniekošana un uzturēšana |
8 767 780 |
8 782 580 |
14 800 |
|
| 5.6.1. | Nekustamā īpašuma nodaļa |
234 016 |
235 916 |
1 900 |
|
| 5.6.2. | SAM 5.1.1. Pretplūdu pasākumi Ādažu centra polderī, Ādažu novadā |
- |
- |
||
| 5.6.3. | Jaunais plūdu projekts - 2.1.3.2. "Nacionālas nozīmes plūdu un krasta erozijas pasākumi" 1. daļa |
255 685 |
255 685 |
||
| 5.6.4. | P/A "Carnikavas komunālserviss" teritorijas un īpašumu apsaimniekošana |
5 856 957 |
5 859 560 |
2 603 |
|
| 5.6.5. | Investīcijas energosaimniecības uzlabošanā |
237 443 |
237 443 |
||
| 5.6.6. | Investīcijas vides pārvaldībā un uzlabošanā |
339 942 |
324 942 |
-15 000 |
|
| 5.6.7. | Investīcijas ceļu, ielu infrastruktūras attīstībā un uzlabošanā |
1 843 737 |
1 869 034 |
25 297 |
|
| 08.000 | 6. | Atpūta, kultūra un reliģija |
2 591 021 |
2 595 021 |
4 000 |
| 6.1. | Kultūra |
1 559 120 |
1 559 120 |
||
| 6.1.1. | Ādažu kultūras centrs |
813 277 |
813 277 |
||
| 6.1.2. | Tautas nams "Ozolaine" |
526 028 |
526 028 |
||
| 6.1.3. | Muzejs un Carnikavas novadpētniecības centrs |
189 516 |
189 516 |
||
| 6.1.4. | Tūrisms |
30 299 |
30 299 |
||
| 6.2. | Ādažu bibliotēka |
158 076 |
158 076 |
||
| 6.3. | Carnikavas bibliotēka |
73 071 |
73 071 |
||
| 6.4. | Sporta daļa |
777 526 |
781 526 |
4 000 |
|
| 6.5. | Evaņģēliski luteriskās draudzes |
4 000 |
4 000 |
||
| 6.6. | Multihalle |
19 228 |
19 228 |
||
| 10.000 | 7. | Sociālā aizsardzība |
3 479 428 |
3 479 428 |
|
| 7.1. | Sociālais dienests |
2 701 443 |
2 701 443 |
||
| 7.1.1. | Sociālās funkcijas nodrošināšana |
646 488 |
646 488 |
||
| 7.1.2. | Pabalsti |
1 473 233 |
1 473 233 |
||
| 7.1.3. | Mērķdotācija |
- |
- |
||
| 7.1.4. | Asistentu pakalpojumi |
580 000 |
580 000 |
||
| 7.1.5. | Uzturēšanas izdevumi (CKS) |
1 722 |
1 722 |
||
| 7.2. | Stipendiāti / bezdarbnieki |
14 883 |
14 883 |
||
| 7.3. | SAM 9311 Deinstitucionalizācija - Dienas centrs |
444 938 |
444 938 |
||
| 7.3.1. | DI centra uzturēšanas izdevumi |
432 274 |
432 274 |
||
| 7.3.2. | DI centra uzturēšanas izdevumi (CKS) |
12 664 |
12 664 |
||
| 7.4. | Bāriņtiesa |
158 418 |
158 418 |
||
| 7.5. | Dotācijas Ukrainas pilsoņu atbalstam |
70 604 |
70 604 |
||
| 7.6. | ANM pasākuma "Atbalsta pasākumi cilvēkiem ar invaliditāti mājokļu vides pieejamības nodrošināšanai" projekts |
44 312 |
44 312 |
||
| 7.7. | SAM 9.2.4.2. projekts "Pasākumi vietējās sabiedrības veselības veicināšanai" |
44 830 |
44 830 |
||
| 09.000 | 8. | Izglītība |
33 479 096 |
33 879 825 |
400 729 |
| 8.1. | Norēķini ar pašvaldību budžetiem par izglītības iestāžu pakalpojumiem |
851 975 |
851 975 |
||
| 8.2. | Ādažu Pirmsskolas izglītības iestāde |
2 535 967 |
2 554 567 |
18 600 |
|
| 8.2.1. | pedagogu algas, grāmatas (mērķdotācija) |
368 052 |
366 421 |
-1 631 |
|
| 8.2.2. | pārējās izmaksas |
1 670 882 |
1 669 482 |
-1 400 |
|
| 8.2.3. | ES Kohēzijas fonda projekts "STEM un pilsoniskās līdzdalības norises plašākai izglītības pieredzei un karjeras izvēlei" |
4 307 |
4 307 |
||
| 8.2.4. | uzturēšanas izmaksas (CKS) |
497 033 |
514 357 |
17 324 |
|
| 8.3. | Kadagas PII |
1 501 706 |
1 507 350 |
5 644 |
|
| 8.3.1. | pedagogu algas, grāmatas (mērķdotācija) |
147 343 |
152 344 |
5 001 |
|
| 8.3.2. | pārējās izmaksas |
1 108 510 |
1 107 510 |
-1 000 |
|
| 8.3.3. | ES Kohēzijas fonda projekts "STEM un pilsoniskās līdzdalības norises plašākai izglītības pieredzei un karjeras izvēlei" |
1 643 |
1 643 |
||
| 8.3.4. | uzturēšanas izmaksas (CKS) |
245 853 |
245 853 |
||
| 8.4. | Pirmsskolas izglītības iestāde "Riekstiņš" |
1 854 025 |
1 854 007 |
-18 |
|
| 8.4.1. | pedagogu algas, grāmatas (mērķdotācija) |
203 756 |
202 607 |
-1 149 |
|
| 8.4.2. | pārējās izmaksas |
1 406 595 |
1 405 395 |
-1 200 |
|
| 8.4.3. | ES Kohēzijas fonda projekts "STEM un pilsoniskās līdzdalības norises plašākai izglītības pieredzei un karjeras izvēlei" |
2 331 |
2 331 |
||
| 8.4.4. | uzturēšanas izmaksas (CKS) |
243 674 |
243 674 |
||
| 8.5. | Pirmsskolas izglītības iestādes "Piejūra" |
1 575 794 |
1 571 620 |
-4 174 |
|
| 8.5.1. | pedagogu algas, grāmatas (mērķdotācija) |
268 279 |
262 019 |
-6 260 |
|
| 8.5.2. | pārējās izmaksas |
1 141 525 |
1 140 525 |
-1 000 |
|
| 8.5.3. | ES Kohēzijas fonda projekts "STEM un pilsoniskās līdzdalības norises plašākai izglītības pieredzei un karjeras izvēlei" |
3 086 |
3 086 |
||
| 8.5.4. | uzturēšanas izmaksas (CKS) |
165 990 |
165 990 |
||
| 8.6. | Privātās izglītības iestādes |
3 797 888 |
3 828 674 |
30 786 |
|
| 8.7. | Carnikavas vidusskola |
2 761 873 |
2 930 022 |
168 149 |
|
| 8.7.1. | pedagogu algas, grāmatas (mērķdotācija) |
1 519 448 |
1 634 540 |
115 092 |
|
| 8.7.2. | ēdināšana (mērķdotācija) |
94 076 |
94 076 |
||
| 8.7.3. | pārējās izmaksas |
717 634 |
716 234 |
-1 400 |
|
| 8.7.4. | uzturēšanas izmaksas (CKS) |
342 547 |
342 547 |
||
| 8.7.5. | projekts "Skolas soma" |
11 200 |
13 940 |
2 740 |
|
| 8.7.6. | ES Kohēzijas fonda projekts "STEM un pilsoniskās līdzdalības norises plašākai izglītības pieredzei un karjeras izvēlei" |
15 473 |
15 473 |
||
| 8.7.7. | projekti Erasmus+; NordPlus |
76 968 |
113 212 |
36 244 |
|
| 8.8. | Ādažu vidusskola |
9 137 574 |
9 274 809 |
137 235 |
|
| 8.8.1. | pedagogu algas, grāmatas (mērķdotācija) |
4 662 311 |
4 741 726 |
79 415 |
|
| 8.8.2. | pārējās izmaksas |
904 440 |
895 840 |
-8 600 |
|
| 8.8.3. | uzturēšanas izmaksas (CKS) |
780 672 |
780 672 |
||
| 8.8.4. | projekts Erasmus+ |
51 949 |
91 079 |
39 130 |
|
| 8.8.5. | projekts "Skolas soma" |
41 000 |
41 221 |
221 |
|
| 8.8.6. | ES Kohēzijas fonda projekts "STEM un pilsoniskās līdzdalības norises plašākai izglītības pieredzei un karjeras izvēlei" |
45 754 |
45 754 |
||
| 8.8.7. | Ādažu vidusskolas D korpusa siltināšana |
300 000 |
300 000 |
||
| 8.8.8. | Ādažu vidusskolas ēkas A korpusa, savienojuma daļas starp korpusiem (A un B), kā arī, vidusskolas centrālās daļas, tai skaitā torņa fasādes atjaunošana. |
557 629 |
557 629 |
||
| 8.8.9. | sākumskolas uzturēšanas izmaksas |
797 453 |
797 453 |
||
| 8.8.10. | sākumskolas uzturēšanas izmaksas (CKS) |
428 433 |
424 433 |
-4 000 |
|
| 8.8.11. | sākumskolas ēdināšana (mērķdotācija) |
263 797 |
263 797 |
||
| 8.8.12. | PII |
349 890 |
335 205 |
-14 685 |
|
| 8.8.12.1. | - pedagogu algas (mērķdotācija) |
102 045 |
86 339 |
-15 706 |
|
| 8.8.12.2. | - uzturēšana |
232 189 |
231 989 |
-200 |
|
| 8.8.12.3. | ES Kohēzijas fonda projekts "STEM un pilsoniskās līdzdalības norises plašākai izglītības pieredzei un karjeras izvēlei" |
1 221 |
1 221 |
||
| 8.8.12.4. | - uzturēšanas izmaksas (CKS) |
15 656 |
15 656 |
||
| 8.9. | Ādažu novada mākslu skola |
1 819 529 |
1 864 001 |
44 472 |
|
| 8.9.1. | pedagogu algas (mērķdotācija) |
735 359 |
849 831 |
114 472 |
|
| 8.9.2. | pārējās izmaksas |
1 084 170 |
1 014 170 |
-70 000 |
|
| 8.10. | Sporta skola |
845 947 |
845 947 |
||
| 8.10.1. | pedagogu algas (mērķdotācija) |
313 283 |
313 283 |
||
| 8.10.2. | Pašvaldības finansējums |
532 664 |
532 664 |
||
| 8.11. | Izglītības un jauniešu lietu pārvalde |
687 795 |
687 830 |
35 |
|
| 8.12. | Līdzfinansējums skolēnu dalībai konkursos |
3 000 |
3 000 |
||
| 8.13. | Jaunas pirmsskolas izglītības iestādes Podniekos būvniecība |
5 600 179 |
5 600 179 |
||
| 8.14. | Teritorijas novērtēšana pirms būvprojekta izstrādes un būvprojekts jaunas pamatskolas izveidei Ādažu pilsētā |
220 567 |
220 567 |
||
| 8.15. | Latvijas Skolu jaunatnes dziesmu un deju svētki |
285 277 |
285 277 |
||
|
KOPĀ IZDEVUMI: |
71 826 653 |
72 276 182 |
449 529 |
||
| F40020020 | 9. | Kredītu pamatsummas atmaksa |
3 702 737 |
3 702 737 |
|
|
PAVISAM KOPĀ IZDEVUMI: |
75 529 390 |
75 978 919 |
449 529 |
||
| F21010000 AB | - | Naudas līdzekļu atlikums uz gada beigām |
160 560 |
218 633 |
58 073 |
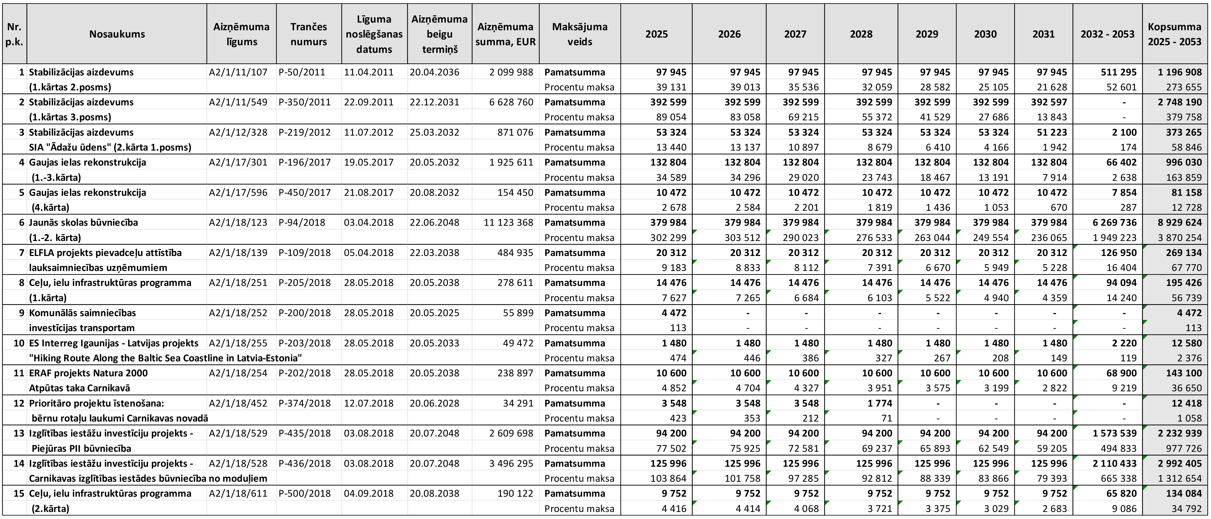
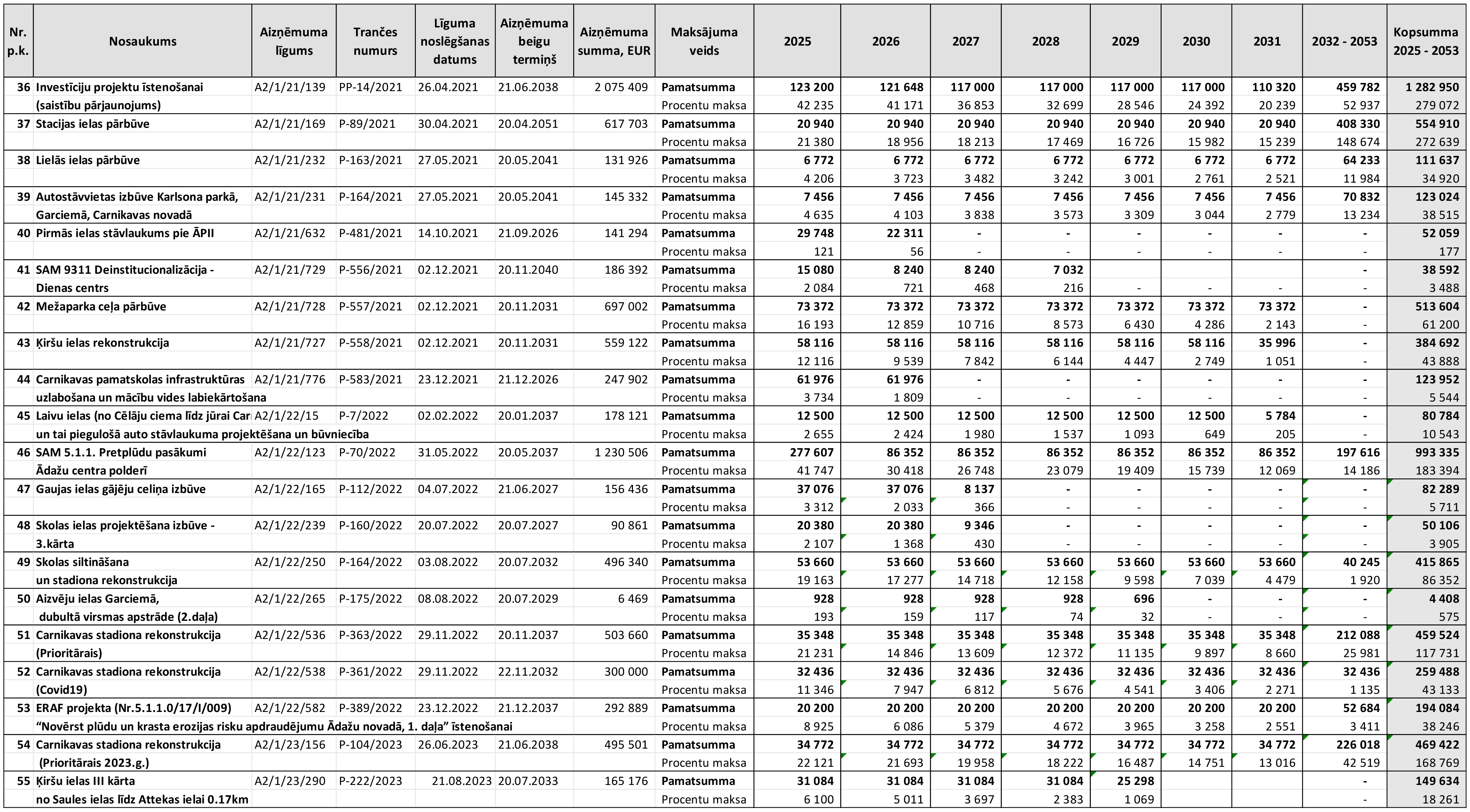
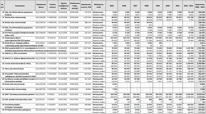
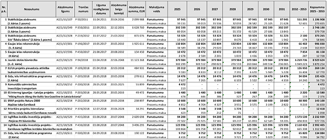
2. pielikums
Ādažu novada pašvaldības domes 2025. gada 23. oktobra
saistošajiem noteikumiem
Nr. 37/2025 "Grozījumi Ādažu novada pašvaldības domes 2025.
gada 22. janvāra
saistošajos noteikumos Nr. 1/2025 "Par Ādažu novada
pašvaldības budžetu 2025. gadam""
Ādažu novada pašvaldības domes priekšsēdētāja K. Miķelsone
Ādažu novada pašvaldības domes budžeta grozījumi 2025. gadam apstiprināti 2025. gada 23. oktobrī. Budžeta grozījumi sastāv no pamatbudžeta, kuru veido ieņēmumu un izdevumu sadaļas, kā arī aizņēmumu un citu ilgtermiņa saistību pārskata. Pašvaldība ir ņēmusi vērā visu funkciju vajadzības un sabalansējusi pieejamos finanšu līdzekļus tā, lai nodrošinātu uzlabojumus sabiedrībai svarīgās jomās saskaņā ar pašvaldības attīstības plānošanas dokumentos noteiktajiem mērķiem.
Saistošie noteikumi paredz šādus grozījumus budžetā:
• Ieņēmumu sadaļā palielinājums par 30'000 euro, balstoties uz faktisko izpildi, dabas resursu nodokļu ieņēmumu sadaļā, kas arī izdevumos palielina dabas resursu nodokļa izlietojuma sadaļu, jo šie līdzekļi ir novirzāmi konkrētiem mērķiem. Ir plānoti divi projekti (Atkritumu dalītās vākšanas laukums un Laveru sūkņu stacijas pārbūve).
• Sadaļā "valsts budžeta transferti" palielinājumu veido precizētie mērķdotāciju apjomi pedagogu atalgojumam, dotācija mācību līdzekļiem un projekta "Skolas soma" finansējumam, kas precizēti par 2025. gada septembra līdz decembra mēnešiem:
○ dotācija mākslas skolu pedagogu atalgojumam palielināta par 114'472 euro, kas izdevumu sadaļā atspoguļoti sadaļā "Ādažu novada Mākslu skola" - pedagogu algas (mērķdotācija). Līdz ar mērķdotācijas summas maiņu, precizēta atalgojuma summa no pašvaldības līdzekļiem, samazinot izdevumus par 70'000 euro;
○ 2'754 euro dotācija mācību literatūras iegādei mazākumtautību valodas interešu izglītības apguvei. Izdevumos šis finansējums ir pie attiecīgās izglītības iestādes, kas to realizē;
○ 202'826 euro dotācija vispārējo un pirmsskolas izglītības iestāžu pedagogu atalgojumam. Izdevumos šis finansējums ir pie attiecīgās izglītības iestādes, precizējot finansējumu no mērķdotācijas;
○ 221 euro palielinājums ieņēmumu sadaļā projekta "Skolas soma" realizācijai Ādažos, kas izdevumos ir Ādažu vidusskolas budžeta sadaļā un 2'740 euro gan ieņēmumu, gan izdevumu palielinājums projekta realizācijai Carnikavas vidusskolā.
• Ir uzsākts ES Kohēzijas fonda projekts "STEM un pilsoniskās līdzdalības norises plašākai izglītības pieredzei un karjeras izvēlei". Kopējais ārfinansējums ir 73'815 euro, kas izdevumu sadaļā atspoguļojas pie pašvaldības izglītības iestādēm, kas šo projektu realizē:
○ pirmsskolas izglītības iestādē "Strautiņš" 4'307 euro;
○ pirmsskolas izglītības iestādē "Mežavēji" 1'643 euro;
○ pirmsskolas izglītības iestādē "Riekstiņš" 2'331 euro;
○ pirmsskolas izglītības iestādē "Piejūra" 3'086 euro;
○ Ādažu vidusskolas pirmsskolas izglītības iestādē 1'221 euro;
○ Carnikavas vidusskolā 15'473 euro;
○ Ādažu vidusskolā 45'754 euro.
• Saskaņā ar vidusskolu realizētajiem ārvalstu projektiem (Erasmus+ un Nordplus), precizētas projektu naudas plūsmas - ieņēmumu daļā palielinot plānoto finansējumu par 75'374 euro un izdevumu daļā šī summa attiecināma 36'244 euro uz Carnikavas vidusskolu un 39'130 euro uz Ādažu vidusskolu.
• 2'264 euro pārcelts no CERV programmas projektam "YOUTth and democracy: empowering Europe's next generation" paredzētā pašvaldības līdzfinansējuma uz attīstības nodaļas budžetu multifunkcionālās iekārtas iegādei. Līdzekļi pieejami, jo projekta izdevumus sedza projekta vadošais partneris.
• Saskaņā ar pašvaldības domes 25.09.2025. protokollēmumu, nolemts nepieciešamos līdzekļus 10'933 euro apmērā novirzīt projekta "LIFEBauhausingEurope" īstenošanai no budžeta sadaļas "TEP Atjaunojamo energoresursu izmantošana Ādažu novadā (EUCF)".
• Saskaņā ar pašvaldības domes 23.10.2025. lēmumiem izdevumu sadaļā novirzīti 12'100 euro ēku demontāžai Pīlādžu ielā un 3'000 euro koku uzmērīšanai, cirsmu inventarizācijai un sagatavošanai atsavināšanai no "Nekustamā īpašuma" nodaļas uz sadaļu "P/A "Carnikavas komunālserviss" teritorijas un īpašumu apsaimniekošana", jo to realizēs P/A "Carnikavas komunālserviss".
• Izdevumu sadaļā koriģēta plānotā summa saņemtā PVN atmaksai valstij 17'000 euro apmērā no sadaļas "P/A "Carnikavas komunālserviss" teritorijas un īpašumu apsaimniekošana" uz "Nekustamā īpašuma" nodaļu, jo šos ieņēmumus uzskaita un kontrolē Nekustamo īpašumu nodaļa.
• Saskaņā ar pašvaldības domes finanšu komitejas augusta protokollēmumu pārcelti 15 000 euro no sadaļas "Investīcijas vides pārvaldībā un uzlabošanā" (Baltezera kapu celiņu ierīkošana) uz sadaļu "P/A "Carnikavas komunālserviss" teritorijas un īpašumu apsaimniekošana" (Transportlīdzekļa MB UNIMOG remontam).
• Saskaņā ar pašvaldības domes finanšu komitejas oktobra protokollēmumu pārcelti 25'297 euro no Jūras ielas 4 demontāžai un stāvlaukuma izbūvei paredzētajiem līdzekļiem Ķiršu ielas lietus kanalizācijas izbūvei.
• Izdevumi par P/A "Carnikavas komunālserviss" darbinieku apdrošināšanu, kas sākotnēji plānoti izglītības iestādēs pārcelti uz P/A "Carnikavas komunālserviss" sadaļu (8'600 euro no Ādažu vidusskolas, 200 euro no Ādažu vidusskolas pirmsskolas izglītības iestādes, 1'400 euro no Carnikavas vidusskolas, 1'000 euro no pirmsskolas izglītības iestādes "Mežavēji", 1'000 euro no pirmsskolas izglītības iestādes "Piejūra", 1'200 euro no pirmsskolas izglītības iestādes "Riekstiņš", 1'400 euro no pirmsskolas izglītības iestādes "Strautiņš").
• Saskaņā ar pašvaldības domes finanšu komitejas septembra protokollēmumu, nolemts nepieciešamos līdzekļus pirmsskolas izglītības iestādes "Strautiņš" jumta daļas remontam 17'324 euro apmērā novirzīt no nesadalītā konta atlikuma.
• 4'000 euro novirzīti no Ādažu sākumskolas uzturēšanas izmaksām (ietaupījums no parketa slīpēšanas) uz sporta centru ūdens un kanalizācijas patēriņa apmaksai.
Kopumā Ādažu novada pašvaldības domes budžeta grozījumi paredz ieņēmumu palielinājumu par 507'602 euro, nosakot budžeta ieņēmumus 62'835'203 euro apmērā un izdevumu daļas palielinājumu par 449'529 euro, nosakot budžeta izdevumus 72'276'182 euro apmērā. Plānoto aizņēmumu apjoms 2025. gadā ir 6'668'106 euro apmērā, un aizņēmumu pamatsummas atmaksa 2025. gadā plānota 3'702'737 euro apmērā.
Ādažu novada pašvaldības domes priekšsēdētāja K. Miķelsone